|
Introduction Taiwan / ROC
- Disambiguation: Taiwan, ROC, China
- Basic facts about the Republic of China (ROC)
- Essential information on Taiwan I—population and languages
- Essential information on Taiwan II—history
- The indigenous peoples and their marginalization
Additional background information like data on geography and climate, selected statistics and more is available
on the page Tools.
TOP HOME
BOTTOM
===== ===== ===== ===== =====
For decades, there has been some confusion and controversy about the proper denomination of Taiwan that
has been caused by political factors. In common usage, Taiwan is referred to as Taiwan or the ROC, and since
1949 it gradually has become a prevalent habit to use the two terms as substitutes for each other. However,
it should not be forgotten that the ROC between its foundation in 1912 and the
end of WWII in 1945 did not include Taiwan, and Taiwan had its own rich, colourful
history before 1945. The following explanations are helpful to reduce possible misconceptions.
- Taiwan 台灣 is basically a geographical term for the island in the Western Pacific. It is not
the official name of the state which administers it.
- ROC stands for the Republic of China (Zhonghua minguo 中華民國) which was formally established
in 1912 on the Chinese mainland. At that time, Taiwan was a colony of Japan.
Taiwan was incorporated into the ROC following the defeat of Japan at the end
of WWII, and ROC has been used as the official state name there since. The legal basis for Taiwan's inclusion in the ROC is controversial and the subject of an ongoing debate.
- China (Zhongguo 中國) is the name of the country in East Asia. Politically, it usually refers
to the People's Republic of China (Zhonghua renmin gongheguo 中華人民共和國,
abbrev. PRC) that was set up in Beijing in 1949, but Taiwan has never been under the control of the PRC. As states,
the ROC and the PRC are two separate sovereign, independent entities. In the ROC/Taiwan, the PRC is often referred
to as "mainland" (dalu 大陸) or "mainland China" (Zhongguo dalu 中國大陸). In a historical context,
China may also refer to the ROC (1912-1949), the Qing dynasty (1644-1911), the Ming dynasty (1368-1644) and so on.
Please note that terms like "Taiwan, China" or "Taiwan, province of China" are regarded in Taiwan as
being part of a scheme pursued by the PRC to downgrade Taiwan's status in the international arena, and they
are not sanctioned or approved by the ROC government.
In modern Taiwan, it has become fashionable using the name "Formosa" when referring to Taiwan, especially
among young supporters of Taiwan independence. In Chinese, both the phonetic equivalent Fuermosha 福爾摩沙
as well as meilidao 美麗島 (i. e. the Chinese translation of the whole original Portuguese term "Ilha
Formosa", meaning "beautiful island" in English) are popular. On the negative side of the spectrum, some
pro-independence hardliners refer to China using the old Japanese term "Shina" (Chinese pronunciation
zhina 支那, in Japanese hiragana: shina しな) which is perceived as highly
derogatory and offensive as well as an unmistakable marker of anti-China sentiment, therefore that term
is generally considered inadmissible in civilized, academic discourse.
The relations between Taiwan and China are one of the most important aspects of ROC
politics, therefore Cross-Strait issues are covered extensively on this website. A selection of links is shown
directly below.
Why mention "native province"?
Due to the nature of Taiwan's political landscape which is characterized by the persistent rivalry between
"mainlanders" (waishengren 外省人) on the one side and "Taiwanese"
(Taiwanren 台灣人)/"locals" (benshengren 本省人) on the other side as well as the deep rift
between the "blue" and "green" political camps, the origin and background
of a politician in the ROC is still regarded a significant factor. For this reason, lists showing the heads
of government agencies and other organizations in this file feature a column labelled "Native Province"
on the right side of the respective table.
TOP HOME
===== ===== ===== ===== =====
++++++++++ TOP HOME
[next chapter]
[previous chapter] ++++++++++
The ROC today is a sovereign, independent and self-ruled democratic state. Modern democracies in general uphold the
principle of separation of powers, and most democratic states have a system with three branches (legislature/parliament,
executive/government, and judiciary/court system) according to the trias politica principle. By definition, a state
consists of all administrative agencies belonging to those three branches, but in Taiwan's case the political system of
the ROC features five branches (Yuan 院) on the central level:
✿ Executive Yuan (xingzhengyuan 行政院) [est. 1928]—i. e. central government/cabinet,
✿ Legislative Yuan (lifayuan 立法院) [est. 1928]—i. e. parliament,
✿ Judicial Yuan (sifayuan 司法院) [est. 1928],
✿ Control Yuan (jianchayuan 監察院) [est. 1928/1931], and
✿ Examination Yuan (kaoshiyuan 考試院) [est. 1930].
As head of state the president (zongtong 總統) of the ROC is not part of one particular
branch but represents all of them as their combination constitutes the state as a whole. Furthermore, there is a distinction
between the central level and the local levels of ROC administrative agencies, the five Yuan and
the presidency being part of the central level.
The most important elements of the ROC's political system are as follows. Click here
to view a simplified diagram of the political system.
TOP HOME
[◆ ROC basic facts]
[Directory ROC political system]
| Institution | Logo | Description |
|---|
Presidential Office (總統府)
🌏 – Web link |
 |
The ROC's head of state and commander-in-chief is the popularly
elected President (see page "ROC Presidency"). The ROC president appoints the Premier, i. e. the
head of the Executive Yuan, as well as the heads of the Judicial Yuan, the Control Yuan and the Examination Yuan—but not of the
Legislative Yuan. |
Executive Yuan (行政院)
🌏 – Web link |
 |
The Executive Yuan is the cabinet of the ROC, i. e. the central government. Its agencies implement the policies devised by
the ROC president and the laws approved by the legislature. (See page "Executive Yuan [Cabinet]") |
Legislative Yuan (立法院)
🌏 – Web link |
 |
The popularly elected parliament of the ROC is called the Legislative
Yuan. (See page "Legislative Yuan [Parliament]") The ROC
Constitution that went into force on Dec. 25, 1947 stipulated a bicameral system with the Legislative Yuan
and a National Assembly (NA). Since the abolition of the NA in 2005 the
ROC's representation of the people has been unicameral. |
Judicial Yuan (司法院)
🌏 – Web link |
 |
The Judicial Yuan directs the ROC's court system on all
levels, up to the ROC Supreme Court and the Constitutional
Court. The head of the Judicial Yuan is appointed by the ROC president. (See
page "Judicial Yuan") |
Control Yuan (監察院)
🌏 – Web link |
 |
The Control Yuan executes impeachment and audit functions (see page "Control Yuan").
The head of the Control Yuan is appointed by the ROC president. |
Examination Yuan (考試院)
🌏 – Web link |
 |
The Examination Yuan manages the civil service system of the ROC (see page "Examination
Yuan"). The head of the Examination Yuan is appointed by the ROC president. |
As for the central government, its superordinate organization—the Executive Yuan—is headed by
the ROC Premier (xingzheng yuanzhang 行政院長) who is appointed by the ROC president. The Executive Yuan directs the
cabinet agencies, i. e. ministries (bu 部), councils/commissions (weiyuanhui 委員會), directorate-generals (zongchu
總處) and two others: the Central Bank (zhongyang yinhang 中央銀行) and the National Palace Museum (gugong bowuyuan 故宮博物院, abbrev. NPM).
Please note that in contrast to
most states, not all ministries in the political system of the ROC are cabinet agencies. While most ministries of the ROC are under the Executive Yuan (cabinet), two other Yuan have ministries as well—the Control Yuan and the Examination
Yuan (see the following list).
TOP HOME
[◆ ROC basic facts]
[Directory ROC political system]
TO BE OR NOT TO BE—Since the early 2000s there has been an ongoing debate whether
the Control Yuan and the Examination Yuan should be abolished.
Critics argue that both Yuan are relics of imperial China, neither appropriate
nor necessary in a modern democratic system. While the functions of the Examination Yuan could indeed be performed
by agencies like the Directorate-General of Personnel Administration (DGPA) and the MOE, the Control Yuan could play a truly valuable role
as independent watchdog institution if its head was not appointed by the ROC president
but directly elected by the ROC citizens.
POWER OF THE OPPOSITION—In the ROC the ruling party (zhizhengdang 執政黨) is usually the political party whose candidate won the most recent presidential
election. Since the beginning of democratization, ROC presidents belonged either to the KMT (Lee Teng-hui 1988-2000, Ma Ying-jeou 2008-2016) or to the DPP (Chen Shui-bian 2000-2008, Tsai Ing-wen
2016-2024, Lai Ching-te since 2024). Lee, Ma and Tsai ruled unimpeded, backed
by the majorities their respective political party held in the Legislative Yuan during
their presidencies. In contrast, Chen and now Lai were/are confronted with less cooperative parliaments where a majority
of the seats was/is controlled by opposition parties (zaiyedang 在野黨). There are several ways an oppositional
parliament can put obstacles in the way of the ROC president, including the following:
TOP HOME
[◆ ROC basic facts]
[Directory ROC political system]
OTHER HALLMARKS OF DEMOCRACY—Features that are essential in every true democracy, other than universal suffrage
and the separation of powers, are freedom of the press, a vibrant and diverse civil society, and plentiful, affordable access to education.
- Taiwan's media have consistently scored high in media evaluations like the World Press Freedom Index released annually
by France-based Reporters Without Borders (RSF).
- NGOs are active in all relevant areas of Taiwan's society, which together with free media are important aspects of independent scrutiny.
(Selected Taiwanese NGOs are introduced on the page "Non-governmental sector".)
- Education is an important component of government policymaking and on average accounts for about one fifth of the government's
total budget; for details click here.
The following table shows Taiwan's position in the annual Press Freedom Index
published by RSF; a red asterisk (*) indicating that Taiwan was sharing its rank with one or more
other countries or had the same global score as one or more countries.
| Year |
Taiwan's position |
Taiwan's global score |
No. 1 |
| 2002 | 35 out of 139 | 9.00 | FI, IS, NO, NL (0.50) |
| 2003 | 61 out of 166 | 12.00 | FI, IS, NL, NO (0.50) |
| 2004 | 60 out of 167 | 14.25 | CH, DK, FI, IE, IS, NL, NO, SK (0.50) |
| 2005 | 51* out of 167 | 12.25 (+ DO) | CH, DK, FI, IE, IS, NL, NO (0.50) |
| 2006 | 43 out of 168 | 10.50 | Finland (0.50) |
| 2007 | 32 out of 169 | 10.00 | IS, NO (0.75) |
| 2008 | 36* out of 173 | 8.00 (+ BA, CV, ES, ZA) | IS, LU, NO (1.50) |
| 2009 | 59 out of 175 | 15.08 | DK, FI, IE, NO, SE (0.00) |
| 2010 | 48 out of 178 | 14.50 | Finland (0.00) |
| 2011-12 | 46* out of 179 | 13.00 (+ KM) | Finland (-10.00) |
| 2013 | 47 out of 179 | 76.18 | Finland (93.62) |
| 2014 | 50 out of 180 | 76.18 | Finland (93.60) |
| 2015 | 51 out of 180 | 75.17 | Finland (92.48) |
| 2016 | 51 out of 180 | 75.63 | Finland (91.41) |
| 2017 | 45 out of 180 | 75.63 | Norway (92.40) |
| 2018 | 42 out of 180 | 76.64 | Norway (92.37) |
| 2019 | 42* out of 180 | 75.02 (+ IT) | Norway (92.18) |
| 2020 | 43 out of 180 | 76.24 | Norway (92.16) |
| 2021 | 43 out of 180 | 76.14 | Norway (93.28) |
| 2022 | 38 out of 180 | 74.08 | Norway (92.65) |
| 2023 | 35 out of 180 | 75.54 | Norway (95.18) |
| 2024 | 27* out of 180 | 76.13 (+ CR) | Norway (91.89) |
| 2025 | 24 out of 180 | 77.04 | Norway (92.31) |
Country codes: BA = Bosnia/Herzegovina, CH = Switzerland, CR = Costa Rica, CV = Cabo Verde,
DK = Denmark, DO = Dominican Republic, ES = Spain, FI = Finland, IE = Ireland, IS = Iceland, IT = Italy, KM = Comoros,
LU = Luxembourg, NL = Netherlands, NO = Norway, SE = Sweden, SK = Slovakia, ZA = South Africa
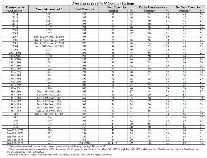
Another noteworthy annual study is the report Freedom in the World, published since 1973 by Freedom House. It assesses the status of a country
in two categories—political rights (PR) and civil liberties (CL), with scores on a seven-point scale: 1 and 2
for "free", 3 through 5 for "partly free", 6 to 7 for "not free". For the years 1973 to 1977, no copies of the report
are available online.
| Year | Status |
|
Year | Status |
| 1977 | PR 5, CL 4+: partly free | 2002 | PR 1, CL 2: free |
| 1978 | PR 5, CL 5–: partly free | 2003 | PR 2, CL 2: free |
| 1979 | PR 5, CL 5: partly free | 2004 | PR 2, CL 1: free |
| 1980 | PR 5, CL 5: partly free | 2005 | PR 1, CL 1: free |
| 1981 | N/A | 2006 | PR 2, CL 1: free |
| 1982 | PR 5, CL 5: partly free | 2007 | PR 2, CL 1: free |
| 1983 | PR 5, CL 5: partly free | 2008 | PR 2, CL 1: free |
| 1984 | PR 5, CL 5: partly free | 2009 | PR 1, CL 2: free |
| 1985 | PR 5, CL 5: partly free | 2010 | PR 1, CL 2: free |
| 1986 | PR 5, CL 5: partly free | 2011 | PR 1, CL 2: free |
| 1987 | PR 5, CL 4+: partly free | 2012 | PR 1, CL 2: free |
| 1988 | PR 5, CL 3: partly free | 2013 | PR 1, CL 2: free |
| 1989 | PR 4, CL 3: partly free | 2014 | PR 1, CL 2: free |
| 1990 | PR 3, CL 3: partly free | 2015 | 88/100: free (PR 1, CL 2) |
| 1991 | PR 3, CL 3: partly free | 2016 | 89/100: free (PR 1, CL 2) |
| 1992 | PR 3, CL 3: partly free | 2017 | 91/100: free (PR 37/40, CL 54/60) |
| 1993 | PR 3, CL 3: partly free | 2018 | 93/100: free (PR 37/40, CL 56/60) |
| 1994 | PR 4, CL 4: partly free | 2019 | 93/100: free (PR 37/40, CL 56/60) |
| 1995 | PR 3, CL 3: partly free | 2020 | 93/100: free (PR 37/40, CL 56/60) |
| 1996 | PR 3, CL 3: partly free | 2021 | 94/100: free (PR 38/40, CL 56/60) |
| 1997 | PR 2, CL 2: free | 2022 | 94/100: free (PR 38/40, CL 56/60) |
| 1998 | PR 2, CL 2: free | 2023 | 94/100: free (PR 38/40, CL 56/60) |
| 1999 | PR 2, CL 2: free | 2024 | 94/100: free (PR 38/40, CL 56/60) |
| 2000 | PR 2, CL 2: free | 2025 | 94/100: free (PR 38/40, CL 56/60) |
| 2001 | PR 1, CL 2: free | 2026 | 93/100: free (PR 38/40, CL 55/60) |
Please note that the annual
reports "Freedom in the World" between 1978 and 1981 showed figures about the studies for the previous year
(e. g. 1981: The Survey in 1980), starting with the report of 1982 for the same year (1982: The Survey in 1982), so there is
no survey available for the year 1981. (For additional explanations click here.)
From 2024 on, the Freedom House website does not provide the complete reports for download, summaries and
country reports are available instead.
TOP HOME
[◆ ROC basic facts]
[Directory ROC political system]
On the local level, the ROC today formally consists of two provinces—Taiwan and Fujian—plus 6 special municipalities
directly under the jurisdiction of the central government. In practical administrative reality, the two provincial governments
were streamlined since 1998, and by the end of 2018 the positions of provincial governors were abolished. Counties and county-level cities are
nominally still listed under the provinces; Taiwan Province has 14 county-level local governments, Fujian Province
has 2.
The following diagram presents the ROC's overall system of local administration in a nutshell.
| Republic of China (ROC) 中華民國 |
Special municipalities 直轄市 |
Provinces 省 |
| Taiwan Province 台灣省 |
Fujian Province 福建省 |
| Counties 縣 |
County-level cities 省轄市 |
Counties 縣 |
| [6 special municipalities] |
[11 counties] |
[3 county-level cities] |
[2 counties] |
Local administration consists of 22 units—6 special municipalities, 3
county-level cities (which are sometimes also called "provincial municipalities"),
and 13 counties. (Two useful maps in JPG format show the 22 cities and counties of the ROC as well as Taiwan and its outlying islands.)
The heads of county-level governments and the mayors of special municipalities are elected by direct
popular vote. (See page "Local administration")
TOP HOME
[◆ ROC basic facts]
[Directory ROC political system]
Following the lifting of martial law in 1987 the ROC
underwent a period of democratization, and the Taiwanese people have now been directly electing their own president and parliament in free and
fair elections since more than a quarter of a century. City mayors and county magistrates are also popularly elected, and since 2004 referendums have been held on major public issues.
(See page "Democratic elections")
Since 1987 the ROC evolved from a one-party dictatorship to a multi-party democracy. In today's Taiwan,
political parties play important roles as stakeholders, they contribute to the formation of political opinions, and leading
administrative positions are usually (but not necessarily) occupied by members of the party currently in power. As the ROC president has been directly elected by the people
from the year 1996 on, the presidency has been in the hands of either the KMT or the DPP. (See page "Political parties")
For more detailed descriptions and explanations please refer to the respective pages of this website.
TOP HOME
[◆ ROC basic facts]
[Directory ROC political system]
Although the pursuit of gender equality has been official ROC government policy for a long time, women reaching top
positions in the government still is a rare exception. Posts like ROC president, VP, premier, vice premier and ROC legislative speaker
are considered the highest positions available. Although the leading positions of the Judicial
Yuan, the Control Yuan and the Examination Yuan
are regarded less powerful in terms of authority for political decision-making, they are still shown here for reference.
Altogether, the list of women who held one (or more) of these offices is quite short.
 - ROC PRESIDENT: 5/2016—5/2024 Tsai Ing-wen
- VP: 5/2000—5/2008 Annette Lu;
5/2024— Hsiao Bi-khim [incumbent]
- PREMIER: [so far none!]
- VICE PREMIER: 5/2004—2/2005 Yeh Chu-lan;
1/2006—5/2007 Tsai Ing-wen; 5/2024— Cheng Li-chiun [incumbent]
- LEGISLATIVE SPEAKER: [so far none!]
- LEGISLATIVE DEPUTY SPEAKER: 2/2012—1/2016 Hung Hsiu-chu
- JUDICIAL YUAN PRESIDENT: [so far none!]
- JUDICIAL YUAN VICE PRESIDENT: [so far none!]
- CONTROL YUAN PRESIDENT: 8/2014—7/2020 Chang Po-ya;
8/2020— Chen Chu [incumbent]
- CONTROL YUAN VICE PRESIDENT: [so far none!]
- EXAMINATION YUAN PRESIDENT: [so far none!]
- EXAMINATION YUAN VICE PRESIDENT: [so far none!]
Chang Po-ya was nominated for Examination Yuan Vice President but failed to gain approval from the Fifth Legislative Yuan on June 21, 2002.
On the other hand, women heading cabinet-level agencies or serving as city mayors or county magistrates has become increasingly common, and the female
representation in the country's parliament has risen from 10 percent in 1993 to more than 40 percent in the current
legislature.
Portraits of the persons holding the ROC's highest positions since the beginning of democratization can be found
here—president/VP, premier, legislative speaker.
TOP HOME
[◆ ROC basic facts]
[Directory ROC political system]
● Presidential office
● Executive Yuan (Cabinet)
● The four other Yuan of the ROC
● Provincial governors, city mayors, county magistrates
● Leaders of major political parties
TOP HOME
[◆ ROC basic facts]
[Directory ROC Who's Who]
TOP HOME
[◆ ROC basic facts]
[Directory ROC Who's Who]
| Office / agency |
Name of incumbent |
Born |
In office since |
| Legislative Yuan, President |
Han Kuo-yu 韓國瑜 |
1957 |
2/2024 |
| Legislative Yuan, Vice President |
Chiang Chi-chen 江啟臣 |
1972 |
2/2024 |
| Legislative Yuan, Secretary-general |
Chester W. L. Chou 周萬來 |
1951 |
2/2024 |
| Judicial Yuan, President |
Shieh Ming-yan 謝銘洋 @ |
1957 |
11/2024 |
| Judicial Yuan, Vice President |
>>> [vacant] <<< |
11/2024 |
| Judicial Yuan, Secretary-general |
Wang Mei-ying 王梅英 @ |
N/A |
12/2024 |
| ROC Supreme Court, President |
Kao Meng-hsun 高孟焄 |
1959 |
6/2023 |
| Control Yuan, President |
Lee Hung-chun 李鴻鈞 @ |
1959 |
2/2026 |
| Control Yuan, Vice President |
Lee Hung-chun 李鴻鈞 |
1959 |
5/2022 |
| Control Yuan, Secretary-general |
Wang Tseng-hua 王增華 @ |
N/A |
6/2025 |
| Ministry of Audit, Control Yuan |
Chen Jui-min 陳瑞敏 |
1955 |
10/2019 |
| Examination Yuan, President |
Chou Hung-hsien 周弘憲 |
1953 |
12/2024 |
| Examination Yuan, Vice President |
Hsu Shu-hsiang 許舒翔 |
1961 |
12/2024 |
| Examination Yuan, Secretary-general |
Jason Liu 劉建忻 |
1968 |
9/2020 |
| Ministry of Examination, Examination Yuan (MOEX) |
Lio Mon-chi 劉孟奇 |
1967 |
5/2024 |
| Ministry of Civil Service, Examination Yuan (MOCS) |
Jay N. Shih 施能傑 |
1960 |
5/2024 |
| Civil Service Protection and Training Commission, Examination Yuan (CSPTC) |
Tsai Hsiu-chuan 蔡秀涓 |
N/A |
9/2024 |
| National Academy of Civil Service, Examination Yuan (NACS) |
Tsai Hsiu-chuan 蔡秀涓 |
N/A |
9/2024 |
| Public Service Pension Fund, Examination Yuan (PSPF) |
Chen Ming-hsien 陳銘賢 |
N/A |
5/2024 |
TOP HOME
[◆ ROC basic facts]
[Directory ROC Who's Who]
TOP HOME
[◆ ROC basic facts]
[Directory ROC Who's Who]
| Office / agency |
Name of incumbent |
Born |
In office since |
| KMT Chairperson |
Cheng Li-wun 鄭麗文 |
1969 |
11/2025 |
| KMT Secretary-general |
Lee Chien-lung 李乾龍 |
1949 |
11/2025 |
| DPP Chairperson |
Lai Ching-te 賴清德 |
1959 |
1/2023 |
| DPP Secretary-general |
Hsu Kuo-yung 徐國勇 |
1958 |
8/2025 |
| NP Chairman |
Wu Cheng-tien 吳成典 |
1957 |
2/2020 |
| PFP Chairman |
James Soong 宋楚瑜 |
1942 |
3/2000 |
| TSU Chairperson |
Chou Ni-an 周倪安 |
1972 |
1/2024 |
| NPSU Chairman |
Lin Pin-kuan 林炳坤 |
1948 |
6/2007 |
| NPP Chairperson |
Claire Wang 王婉諭 |
1979 |
3/2023 |
| TPP Chairman |
Huang Kuo-chang 黃國昌 |
1973 |
1/2025 |
TOP HOME
[◆ ROC basic facts]
[Directory ROC Who's Who]
● ROC today = the Taiwan area
● Taiwan area: Geographic margin points (dry land) and their coordinates
● Mongolia
● The South China Sea
● Just a "small country"?

The territory under the jurisdiction and control of the ROC today comprises the following.
"Taiwan area" (Taiwan diqu 台灣地區 or Taiwan quyu 台灣區域)
is a term that can be used to describe the territory under ROC jurisdiction, and as a geographic reference it is considered
to be less politically charged than "ROC" or "Taiwan". In common understanding, the term does not include the disputed islands
in the South China Sea. As Taiwan proper, Penghu, Kinmen and Matsu constitute the bulk of the ROC's territory, it is also referred to
in Chinese as Tai Peng Jin Ma 台澎金馬.
Please note the difference between "Taiwan Province" and "Taiwan proper". Taiwan Province
is an administrative term, and it covers Taiwan, the small islands in its vicinity plus the Penghu archipelago. Taiwan proper is a
purely geographic term which is used exclusively for the main island, not including the small islands off its shores.
Of the ROC's 22 local administrative units, 6 special municipalities are
located on Taiwan proper, Taiwan Province has 11 counties (one of them offshore) and 3 county-level cities. Only two counties
are under Fujian Province, both of them offshore counties. Maps of the two ROC provinces
are presented directly below. (Click on the maps to enlarge.)
 |
|
|
|
 |
| ⇦ Taiwan Province |
| |
| Fujian Province ⇨ |
| |
Furthermore, a physical map showing the Taiwan area can be displayed by clicking here; copyright:
© Relief Maps, computed by Hans Braxmeier; courtesy maps-for-free.com. Another
version based on Google Earth can be found here.
In addition to the territory it actually controls, the ROC claims the Diaoyutai Islands
(Diaoyutai lieyu 釣魚臺列嶼) in the East China Sea which are controlled by Japan
under the name "Senkaku Islands" (Jian'ge zhudao 尖閣諸島, "Senkaku Shotō" in Japanese).
MORE MAPS FOR ILLUSTRATION—Below, Map A shows Taiwan's position
in East Asia with continental China in the west/northwest, Japan in the northeast, the Korean peninsula in the north, and the Philippines
in the south. Map B provides more details and presents Taiwan proper in grey, the
outlying islands of Taiwan/the ROC in black and the territory controlled by the PRC in red;
the outlying islands are specially highlighted in Map C and Map D. (Click on the maps to enlarge.)
| — Map A — |
— Map B — |
|
— Map C — |
— Map D — |
|
|
|
|
Details about the smaller islands in the Taiwan area and additional maps can be found on the following pages.
TOP HOME
[◆ ROC basic facts]
[Directory territory / jurisdiction]
According to official ROC statistics, the territory under ROC jurisdiction today (Taiwan and its outlying islands) has
an area of 36,197 km². The table below shows figures provided by the MOI listing the size of the territory actually controlled by the ROC government in the Taiwan area since WWII.
| Period |
Area (km²) |
+/– |
|
Period |
Area (km²) |
+/– |
|---|
| 1946–1961 |
35,961.2125 |
N/A |
1989–1996 |
36,181.8718 |
– 0.0451 |
| 1962–1970 |
36,140.2675 |
+ 179.055 |
1997–2006 |
36,188.0354 |
+ 6.1636 |
| 1971–1973 |
36,160.4965 |
+ 20.229 |
2007–2008 |
36,189.5050 |
+ 1.4696 |
| 1974 |
36,160.5147 |
+ 0.0182 |
2009–2010 |
36,191.4667 |
+ 1.9617 |
| 1975–1976 |
36,160.8363 |
+ 0.3216 |
2011–2014 |
36,192.8155 |
+ 1.3488 |
| 1977–1978 |
36,168.8123 |
+ 7.976 |
2015—11/2023 |
36,197.0669 |
+ 4.2514 |
| 1979–1985 |
36,179.1159 |
+ 10.3036 |
12/2023— |
36,197.3371 |
+ 0.2702 |
| 1986–1988 |
36,181.9169 |
+ 2.801 |
|
PAST GAINS AND LOSSES—Since the end of WWII few countries in the world experienced greater changes in the area
and size of the territory under their jurisdiction than the ROC did due to civil war and foreign invasion. From its
establishment in 1912 up to the recurring civil war between Nationalist government forces and Communist rebels which
began shortly after the surrender of Japanese invaders, Mainland China constituted
the area under ROC jurisdiction. On Oct. 25, 1945 the ROC formally took control of Taiwan and Penghu which until then had been under Japanese
colonial rule for five decades. Between early 1946 and late 1949 the ROC suffered the most dramatic losses when
its forces were driven from the Chinese mainland by the Chinese Communists. Since the retreat from the Dachen Islands
off Zhejiang province in February 1955, the territory under ROC control has been
limited to the Taiwan area. (The only two areas which have been continuously under ROC control since 1912 to this day
are the counties Kinmen and Lienchiang
belonging to the ROC's Fujian province.)
However, decades went by until the loss of the mainland was appropriately reflected in official ROC publications. For
example, up until the early 1990s maps in the ROC Yearbooks showed that the ROC territory comprised not only Taiwan but also
the Chinese mainland and even included Outer Mongolia. According to those sources China
(= the ROC) had an area of 11,418,174 km² (ROC Yearbook 1995, p. 15). That stance was mitigated to a certain
extent later in the 1990s, and although the ROC has never formally given up its claim to be the legitimate ruler of China as a whole,
it has finally acknowledged the reality that the ROC government exercises de facto control over the
Taiwan area only and has no jurisdiction over Mainland China.
MISLEADING TERM—Taiwan's official state name ("Republic of China")
has been causing considerable confusion for decades and is profoundly misleading because it suggests that the ROC's jurisdiction
includes Mainland China which is no longer the case. While the authorities in Taipei are
very aware of this predicament, they also know that they cannot unilaterally change their official state name, their national flag or national anthem. That is because
the PRC, upholding its "one China principle" and thus insisting that Taiwan
has eventually to become a part of the PRC, has repeatedly stressed that a move like giving up "ROC" as a state name
by Taipei would be regarded a declaration of independence, providing Beijing with an excuse to launch an attack and annex Taiwan by military force, a threat that was reiterated in the PRC's so-called "Anti-Secession Law". Democratic Taiwan not being able to adopt a different
national flag due to pressure by the authoritarian PRC is especially ironic because the PRC authorities wouldn't even allow
the display of the ROC national flag in their jurisdiction (or anywhere else in the world).
TOP HOME
[◆ ROC basic facts]
[Directory territory / jurisdiction]
| Margin |
Location |
Latitude |
Longitude |
Northernmost point (undisputed) |
Hsiyin 西引島 (Matsu) |
26° 23′ 01″ N |
120° 28′ 47″ E |
Southernmost point (disputed) |
Taiping 太平島 (Spratly Islands) |
⚔ |
10° 22′ 29″ N |
114° 21′ 52″ E |
Southernmost point (undisputed) |
Eluanbi 鵝鑾鼻 (Pingtung County) |
21° 53′ 49″ N |
120° 51′ 35″ E |
Westernmost point (disputed) |
Taiping 太平島 (Spratly Islands) |
⚔ |
10° 22′ 29″ N |
114° 21′ 36″ E |
Westernmost point (undisputed) |
Ertan 二膽島 (Kinmen) |
24° 22′ 54″ N |
118° 09′ 11″ E |
Easternmost point (disputed) |
Chiwei 赤尾嶼 (Diaoyutai Islands) |
⚔ |
25° 55′ 10″ N |
124° 34′ 14″ E |
Easternmost point (undisputed) |
Mianhua 棉花嶼 (Three Northern Islets) |
25° 29′ 02″ N |
122° 06′ 24″ E |
TOP HOME
[◆ ROC basic facts]
[Directory territory / jurisdiction]
Older maps published in Taiwan up to the 1990s show the
ROC in boundaries which included Outer Mongolia. In fact, Outer Mongolia, incorporated into the Qing empire in 1691, had
declared independence in 1911, aligned itself with the USSR in 1924 as Mongolian People's Republic and was renamed
Mongolia in 1992.
It was not before Feb. 26, 2002 that the ROC indicated it had dropped its claim of Mongolia being Chinese
territory by excluding that country's citizens from the coverage of the "Act Governing Relations
between the People of the Taiwan Area and the Mainland Area" (Taiwan diqu yu dalu diqu renmin guanxi tiaoli
台灣地區與大陸地區人民關係條例), and on May 21, 2012 Taiwan's Mainland Affairs
Council (MAC) confirmed that Mongolia was not included in the ROC territory. A dedicated cabinet agency—the Mongolian
and Tibetan Affairs Commission (mengzang weiyuanhui 蒙藏委員會, abbrev. mengweihui 蒙委會 in Chinese
and MTAC in English)—was disbanded on Sept. 15, 2017. (A timeline about the
relations of the ROC with Mongolia can be found here.)
The numbers as shown on the map above right stand for the ROC provinces and ROC municipalities which are explained in detail
on the page "Maps", please click here. That page also includes
a map of the PRC without Mongolia.
TOP HOME
[◆ ROC basic facts]
[Directory territory / jurisdiction]
Formally, the ROC continues to uphold its claim over the largest part of the South China Sea (nanhai
南海) demarcated by the so-called "nine-dash line" (jiuduanxian 九段線) which is identical with the PRC's claim over that area. Other countries (Brunei, Indonesia, Malaysia, the
Philippines and Vietnam) reject those claims.
In comparison, the PRC follows a much more aggressive approach in its attempts to enforce its claim than Taiwan. For
years, the PRC has taken to expanding existing islands or even building artificial islands in disputed areas there, and the
PRC has also increased its military presence in the waters of the South China Sea—measures which are strongly criticized by
the US seeking to uphold freedom of navigation (FON) in international waters. The frequent
harassment against vessels from other countries performed by PRC ships has been described as 'gunboat diplomacy' (paojian
waijiao 砲艦外交).
Islands in the South China Sea which are currently controlled by the ROC include the Pratas
Islands (dongsha qundao 東沙群島) and Taiping Island (taiping dao 太平島).
More details about the South China Sea islands can be found here.
— — — Map of disputed areas in the South China Sea — — —
 |
|
Source: Wikimedia © Creative Commons,
author: Goran tek-en (Jan. 23, 2014)
For another map of unclear origin circulating on social media of the internet which illustrates the PRC's claims in the South China Sea
(and highlights their absurdity) please click here. |
Please note that this website's page "Other texts and documents" contains three documents
pertaining to the South China Sea controversy:
• Article 121 of the UN Convention on the Law of the Sea (1982),
• Declaration on the Conduct of Parties in the South China Sea (2002), and
• South China Sea Arbitration—PCA Press Release (2016).
TOP HOME
[◆ ROC basic facts]
[Directory territory / jurisdiction]
Because Taiwan/the ROC has large and powerful regional neighbours like China and Japan, it is in general often perceived by the international community as a small country.
However, it should be taken into consideration that not only is the ROC the most populous country not represented in the United Nations (UN), but also that today more than half of the countries and territories
in the world each have a population which is significantly smaller than that of the
ROC, e. g. Chile, the Netherlands, Belgium, Cuba, Greece, Sweden, Israel, Austria, Switzerland, Hong Kong, Singapore, Denmark, Ireland, New Zealand
and many others. Regarding Taiwan's economic strength (especially in the areas of semiconductors and ICT products), its GDP and per-capita-income, calling Taiwan a small country seems inadequate as well.
On March 21, 2025 Taiwan-based German digital creator and blogger Alex Kunz
posted an instructive map (click here to open) on social media which showed that Taiwan has
a larger population than many European countries. (According to MOI
statistics, Taiwan/the ROC had a population of 23,384,614 at the end of February 2025, down from 23,420,442 at the end
of December 2023.) On May 6, 2025 Mr Kunz uploaded another map showing US states with a population greater than Taiwan.
TOP HOME
[◆ ROC basic facts]
[Directory territory / jurisdiction]
The current Constitution of the ROC (Zhonghua minguo xianfa 中華民國憲法)
was devised when the territory controlled by the ROC government still comprised mainland China and Taiwan. The National Assembly (NA) passed the draft constitution on Dec. 25, 1946, it was promulgated
about a week later on Jan. 1, 1947 and nominally went into effect on Dec. 25 that year.
 |
| First page of the ROC Constitution as passed by the NA on Dec. 25, 1946; copyright © Academia Historica. |
At the time when the ROC Constitution came into force civil war was raging on the mainland, and on Taiwan the bloody crackdown
following the 2-28 Incident (dubbed 'White Terror') was in full swing. The ROC government fled
the mainland eventually and retreated to Taiwan in December 1949, and after martial law (jieyanfa 戒嚴法) was imposed in Taiwan
Province in May 1949 and in the ROC-controlled parts of Fujian Province in December 1949, the ROC Constitution factually could not be
implemented there. The real legal foundation of the regime were the Temporary Provisions Effective
During the Period of Communist Rebellion (dongyuan kanluan shiqi linshi tiaokuan 動員戡亂時期臨時條款)—short "Temporary
Provisions", enacted in April 1948.
After martial law was finally lifted in Taiwan in July 1987, the ROC Constitution took effect, and between 1991 and 2005 it was amended seven times in order to make it more relevant to the country's current condition. However,
a debate on whether the old constitution should be scrapped altogether and replaced with a new one tailored specifically to Taiwan's needs
has been going on for years, and the question whether ROC rule in Taiwan is legitimate at all is highly
controversial as well.
The following timeline includes milestones of martial law in the Taiwan area and mentions laws
which are otherwise significant.
| 1912 |
Jan. 1: The ROC is founded in Nanjing with Dr. Sun Yat-sen 孫逸仙 as president |
| Feb. 14: Sun Yat-sen resigns as president |
| Feb. 15: Yuan Shikai 袁世凱 is sworn in as ROC President |
| March 11: The ROC Provisional Constitution (Zhonghua minguo linshi yuefa 中華民國臨時約法) is promulgated |
| 1913 |
April 8: The newly elected Congress (guohui 國會) composed of the Senate (canyiyuan 參議院) with 274 seats
and the House (zhongyiyuan 眾議院) with 596 seats convenes |
| Oct. 31: The Congress promulgates the "Tiantan Constitution draft" (tiantan xianfa caoan 天壇憲法草案) which adopts
a cabinet rather than a presidential system in order to check Yuan's power |
| 1914 |
Jan. 10: Yuan Shikai disbands the Congress |
| May 1: Yuan Shikai annuls the ROC Provisional Constitution |
| 1915 |
Aug. 21: A Peace-Planning Society (chouanhui 籌安會) is organized to draft Yuan for emperor |
| Nov. 20: A National People's Representative Assembly (guomin daibiao dahui 國民代表大會) approves monarchy |
| Dec. 12: Yuan Shikai 'agrees' to become emperor of the "Empire of China", taking the era name "Hongxian" 洪憲 |
| 1916 |
March 22: After Yunnan and Guangxi declared independence, Yuan Shikai is forced to abolish monarchy |
| June 6: Yuan Shikai dies, national unity disintegrates in the warlord period |
| 1919 |
June 28: At the end of the Paris Peace Conference members of the Beiyang government
representing China refuse to sign the Treaty of Versailles |
| 1924 |
Jan. 27—Aug. 24: Sun Yat-sen holds sixteen lectures on the Three Principles of the People |
| 1928 |
July: The national unity of the ROC is restored with the successful end of the Northern Expedition and defeat of the
last remaining warlords |
| 1931 |
June 1: The Provisional Constitution for the Period of Political Tutelage (Zhonghua minguo xunzheng shiqi
linshi yuefa 中華民國訓政時期臨時約法) is promulgated |
| 1946 |
Dec. 25: The National Assembly (NA) of the ROC approves a new constitution |
| 1947 |
Jan. 1: The new ROC Constitution is promulgated |
| Feb. 28: Chen Yi 陳儀, Chief Executive of Taiwan Province, declares that
the new ROC Constitution would not apply to Taiwan as Taiwan was still under military occupation and also that the Taiwanese
were 'politically naive' and 'not capable of self-governance' |
| Feb. 28: Chen Yi enacts martial law |
| March 2: Martial law is lifted |
| March 9: Martial law is enacted again by Chen Yi |
| April 22: The office of Taiwan Province Chief Executive is replaced with the Chairperson of Taiwan Province (i. e. provincial governor) |
| May 16: Martial law is lifted by Taiwan Provincial Governor Wei Tao-ming 魏道明 |
| Dec. 25: The ROC Constitution goes into effect |
| 1948 |
April 18: The NA approves the "Temporary Provisions Effective During the Period of Communist Rebellion" |
| May 10: The Temporary Provisions are promulgated |
| Dec. 10: ROC President Chiang Kai-shek enacts a declaration of martial law, effective nationwide (including Fujian province)
except in Sikang 西康省, Sinkiang 新疆省, Tibet 西藏地方, Tsinghai 青海省, and Taiwan, with the territory in the north of the Yangtze River
declared as War Zone (jiezhan diyu 接戰地域), the south declared as Alert Zone (jingjie diyuqu 警戒地域區) |
| 1949 |
Jan. 21: Chiang Kai-shek resigns as ROC president |
| Jan. 24: Acting President Li Tsung-jen 李宗仁 lifts martial law |
| May 19: Taiwan Provincial Governor Chen Cheng 陳誠 announces martial law |
| May 20: Martial law comes into force on the territory of Taiwan Province (repealed on July 15, 1987) |
| June 21: The Act for the Control and Punishment of Rebellion (chengzhi panluan tiaoli 懲治叛亂條例)
is promulgated (rescinded on May 22, 1991) |
| July 7: Acting President Li Tsung-jen reimposes martial in the same areas as in December 1948, this time
with the south as War Zone, including the counties of Kinmen and Lienchiang (Fujian Province, ROC) where it
remains in force until Nov. 7, 1992 |
| Nov. 20: Acting President Li Tsung-jen flies to Hong Kong under the pretext
of seeking medical treatment |
| Dec. 4: Acting President Li Tsung-jen flies from Hong Kong to New York, resigning the following day |
| 1950 |
March 1: Chiang Kai-shek officially resumes his duties as ROC president in Taipei |
| June 13: The Espionage Law of the Period of the Communist Rebellion (kanluan shiqi jiansu feidie tiaoli 戡亂時期檢肅匪諜條例)
is promulgated by ROC President Chiang Kai-shek 蔣介石 (abolished on May 16, 1991 by ROC President Lee Teng-hui) |
| 1954 |
Nov. 25: The Planning Commission for the Recovery of the Mainland (PCRM) is established |
| 1960 |
March 11: The NA adopts an amendment (zengxiu tiaowen 增修條文) to the
constitution's Temporary Provisions, stipulating that
during the period of communist rebellion the president and VP may be re-elected without being subject to the
two-term restriction prescribed in the ROC Constitution |
| 1966 |
Feb. 7: The Temporary Provisions are amended in an extraordinary session of the First NA |
| March 19: The Temporary Provisions are amended again by the First NA |
| 1969 |
Jan. 30: Former ROC Acting President Li Tsung-jen passes away in Beijing |
| 1972 |
March 17: The Temporary Provisions are amended by the First NA at its ninth plenary meeting |
| 1986 |
Sept. 28: The DPP is founded in Taipei,
no interference by the ROC government |
| 1987 |
June 23: The ROC Legislative Yuan passes the National
Security Law During the Period of National Mobilization for Suppression of the Communist Rebellion (dongyuan kanluan shiqi
guojia anquanfa 動員戡亂時期國家安全法) which includes tight restrictions on freedom of assembly, speech and the press |
| July 1: ROC President Chiang Ching-kuo 蔣經國 promulgates the National Security Law During the Period of National Mobilization
for Suppression of the Communist Rebellion |
| July 15: Martial law is lifted on Taiwan and on Penghu |
| 1988 |
Jan. 20: The Assembly
and Parade Act (jihui youxingfa 集會遊行法) is promulgated |
| 1990 |
June 21: The ROC Council of Grand Justices announces that senior parliamentarians should
terminate their responsibilities by Dec. 31, 1991 |
| Oct. 1: The National Unification Council (NUC) established under the Presidential Office |
| 1991 |
Feb. 23: The NUC adopts the Guidelines for National Unification |
| April 22: The First NA approves the abolishment of the Temporary Provisions and passes the
first amendment to the ROC Constitution |
| May 1: The first amendment of the ROC Constitution and the abolishment of the Temporary Provisions take effect |
| June 30: The PCRM is disbanded |
| Dec. 21: Elections for the Second NA are held |
| 1992 |
May 15: Article 100 (yibaitiao 一百條) of the ROC Criminal Code (Zhonghua minguo
xingfa 中華民國刑法)—Part 2: Specific Offenses (di'erbian: fenze 第二編 分則), Chapter 1: Civil Disturbance (diyizhang:
neiluanzui 第一章 內亂罪) is revised |
| May 27: The Second NA passes the second amendment to the
constitution, which deals with the functions of the NA as well as the term of and holding popular vote for the ROC president |
| May 30: The second amendment of the ROC Constitution goes into effect |
| Nov. 7: Martial law is lifted on Kinmen and Matsu (= Lienchiang County) |
| Dec. 19: Elections for the Second Legislative Yuan are held |
| 1994 |
July 28: The Second NA passes the third amendment
to the constitution which concerns the NA and the popular vote of the ROC president and parliament |
| Aug. 1: The third amendment of the ROC Constitution goes into effect |
| 1997 |
July 18: The Third NA approves the fourth amendment
to the constitution concerning the premier and parliament |
| July 21: The fourth amendment of the ROC Constitution goes into effect |
| 1999 |
Sept. 3: The Third NA decides on the fifth amendment
to the constitution |
| Sept. 15: The fifth amendment of the ROC Constitution goes into effect |
| 2000 |
March 24: The fifth amendment of the ROC Constitution is declared invalid by the ROC Council of Grand Justices in Judicial
Yuan Interpretation No. 499 (shizi sijiujiu hao 釋字 499 號) |
| April 24: The Third NA passes the sixth amendment
to the constitution, transferring a major part of its functions to the Legislative Yuan |
| April 25: The sixth amendment of the ROC Constitution goes into effect |
| 2004 |
Aug. 23: The Legislative Yuan passes the seventh amendment
to the constitution that abolishes the NA, reduces the number of legislators from 225 to 113, and changes the voting system for
legislative elections |
| 2005 |
June 7: During its final meeting, the Ad Hoc-NA votes in favour of constitutional
amendments passed by the Legislative Yuan on Aug. 23, 2004 |
| June 10: The revisions of the ROC Constitution are ratified by ROC President Chen Shui-bian |
TOP HOME
[◆ ROC basic facts]
[Directory ROC Constitution]
- Chapter I [Article 1-6]: General Provisions (第一章:總綱)
- Chapter II [Article 7-24]: Rights and Duties of the People (第二章:人民之權利與義務)
- Chapter III [Article 25-34]: The National Assembly (第三章:國民大會)
- Chapter IV [Article 35-52]: The President (第四章:總統)
- Chapter V [Article 53-61]: Administration (第五章:行政)
- Chapter VI [Article 62-76]: Legislation (第六章:立法)
- Chapter VII [Article 77-82]: Judiciary (第七章:司法)
- Chapter VIII [Article 83-89]: Examination (第八章:考試)
- Chapter IX [Article 90-106]: Control (第九章:監察)
- Chapter X [Article 107-111]: Powers of the Central and Local Governments (第十章:中央與地方之權限)
- Chapter XI [Article 112-128]: System of Local Government (第十一章:地方制度)
- Section 1 [Article 112-120]. The Province (第一節:省)
- Section 2 [Article 121-128]. The Hsien (第二節:縣)
- Chapter XII [Article 129-136]: Election, Recall, Initiative, and Referendum (第十二章:選舉 罷免 創制 複決)
- Chapter XIII [Article 137-169]: Fundamental National Policies (第十三章:基本國策)
- Section 1 [Article 137-140]. National Defense (第一節:國防)
- Section 2 [Article 141]. Foreign Policy (第二節:外交)
- Section 3 [Article 142-151]. National Economy (第三節:國民經濟)
- Section 4 [Article 152-157]. Social Security (第四節:社會安全)
- Section 5 [Article 158-167]. Education and Culture (第五節:教育文化)
- Section 6 [Article 168-169]. Frontier Regions (第六節:邊疆地區)
- Chapter XIV (Article 170-175): Enforcement and Amendment of the Constitution (第十四章:憲法之施行及修改)
The full text of the ROC Constitution can be found here.
TOP HOME
[◆ ROC basic facts]
[Directory ROC Constitution]
(Jump to Taiwan's history—much more than just the ROC)
⚬ Early ROC—the era Yuan Shikai (1912–1916)
⚬ Warlord period (1916–1928): China fragmented
⚬ Unified ROC before the end of WWII
• Setting up the five-branch state system (1928–1931)
• Fighting Japanese invasion (1931/1937–1945)
⚬ The Chinese Civil War (1945–1949)
⚬ The ROC on Taiwan
• Consolidation and White Terror under CKS
• The CCK presidency (1978–1988)
• Transition to democracy under Lee Teng-hui
• Modern democratic Taiwan since 1996
TOP HOME
[◆ ROC basic facts]
[Directory ROC history]
The ROC, established on Jan. 1, 1912 after the Hsinhai Revolution (xinhai geming 辛亥革命) which led to the collapse
of the Qing Dynasty (1644-1911), was Asia's first republic and has been a sovereign, independent state to this day. In its
early period the ROC was plagued by internal strife, civil war-like conditions and division,
and between the death of president Yuan Shikai in 1916 and 1928 there was no uncontested
central government with real authority when much of the mainland was controlled by local warlords (junfa 軍閥). After
the 1926–1928 Northern Expedition (beifa zhanzheng 北伐戰爭) against the warlords was successfully concluded under the
leadership of Chiang Kai-shek ("CKS"), most of today's ROC government agencies and
institutions were established in the capital Nanjing. The ROC Political Tutelage Period Act (Zhonghua minguo xunzheng shiqi
yuefa 中華民國訓政時期約法), promulgated on June 1, 1931, stipulated that the central government was to be led by the Chinese
Nationalist Party/Kuomintang (KMT).
Later in 1931 Japanese forces began invading the ROC, first advancing into the Manchurian provinces where a Japanese puppet
regime called "Manchukuo" led by former Qing emperor Pu Yi was installed in 1932. An
incident at the Marco Polo Bridge (Lugouqiao 蘆溝橋) in Beiping (as Beijing was called between 1928 and 1949) in 1937 was
followed by a massive Japanese offensive into the Chinese heartland, and another Japanese puppet regime was installed in Nanjing
under Wang Ching-wei in 1940 while the ROC government retreated to Chongqing. After
Japan's eventual defeat at the end of WWII, Taiwan—ceded to Japan by the Qing in the 1895
Treaty of Shimonoseki (maguan tiaoyue 馬關條約) marking the end of the First
Chinese-Japanese War (jiawu zhanzheng 甲午戰爭, 1894–1895)—was returned to China's territory in 1945 according to the agreements by the Allies.
TOP HOME
[◆ ROC basic facts]
[Directory ROC history]
The same year civil war broke out on the mainland between forces led by the
Chinese Communist Party (Zhongguo gongchandang 中國共產黨, abbrev. Zhonggong 中共 in Chinese and CCP in English) and
troops loyal to the KMT. (An instructive animated sequence of historical maps—researched and produced by Yan Xishan 閻錫山—showing
the progression of the Chinese Civil War since 1945 can be viewed on YouTube, please click on the image on the right.) The victorious Chinese Communists founded the People's Republic of China
(Zhonghua renmin gongheguo 中華人民共和國, abbrev. PRC) on the mainland on Oct. 1, 1949 while the KMT-led ROC government
retreated to Taiwan, along with more than a million refugees. Since 1955, the ROC has been in control only of the Taiwan area.
(More information about Taiwan's specific history can be found here.)
Directly after the termination of Japan's colonial period (Riju shidai 日據時代,
also called Rizhi shiqi 日治時期) in Taiwan the ROC's new provincial administration arrived on the island, but soon tensions
mounted with the local population, which was regarded as "hostile overseas Chinese" (diqiao 敵僑) by the government. Clashes
triggered by the bloody 1947 "Incident of the 28th February" (ererba shijian 二二八事件/"2-28") in Taipei resulted
in an islandwide violent uprising and a brutal crackdown carried out by hastily deployed government troops from the mainland.
In response to the insurgency in Taiwan and civil war raging on the mainland, CKS imposed martial law over the ROC on May 20,
1947. The following period is often referred to as the "White Terror" (baise kongbu
白色恐怖) in Taiwan, during which any opposition activity was mercilessly suppressed by the regime, thousands of people were
executed and even more were incarcerated as political prisoners. Members of the Japanese-educated elite were especially
targeted, and mentioning 2-28 or advocating Taiwan independence could be enough to earn a death warrant from the authorities.
TOP HOME
[◆ ROC basic facts]
[Directory ROC history]
In the decades of Cold War between the ROC and the PRC, the Taiwan area was ruled with an iron fist by CKS's military
dictatorship. After CKS's death in 1975 things started to change. His son and successor Chiang
Ching-kuo ("CCK") gradually initiated political reforms, and martial law was lifted in 1987 (in Taiwan and Penghu; 1992 in Kinmen
and Matsu). While in many countries the transition from authoritarian rule to democracy is marred by chaos and bloodshed, CCK
accomplished this feat with comparatively minimal disruption. Another important trend that took shape under CCK's presidency
was localization (bentuhua 本土化), increasingly more Taiwan-born politicians were appointed as top cabinet officials
or obtained other major positions of political leadership in the ROC. These had almost exclusively been reserved for mainlanders
when CKS was in command.
Under CCK's successor Lee Teng-hui the "Temporary Provisions
Effective During the Period of Communist Rebellion" (dongyuan kanluan shiqi linshi tiaokuan 動員戡亂時期臨時條款)—imposed
in 1948—were abolished in 1991, and reforms were continued and extended significantly. Over time, the ROC evolved into the vibrant,
fully-fledged multi-party democracy it is today. The first opposition political party—the Democratic Progressive Party
(DPP)—was founded in 1986, elections for all seats of the National Assembly
and the Legislative Yuan took place in 1991 and 1992, respectively, the first
direct presidential election was held in 1996, and 2000 saw the first peaceful transition of political power to an opposition
party when DPP candidate Chen Shui-bian was elected ROC president.
The consolidation of the ROC's democratic development has been confirmed with the subsequent peaceful transitions of political
power—the victories of KMT candidate Ma Ying-jeou in the 2008 presidential election and of DPP
candidate Tsai Ing-wen in the 2016 presidential election as well as the DPP winning an absolute
majority in the Legislative Yuan in 2016. Those events clearly indicate that change of political power decided by ballot and a
subsequent smooth handover of administration has become a normal, established feature in Taiwan politics.
TOP HOME
[◆ ROC basic facts]
[Directory ROC history]
The ROC capital (Zhonghua minguo shoudu 中華民國首都) was moved several times due to internal strife, civil war or attack
by foreign forces.
| 1912 (Jan. 1—April) |
Nanjing 南京 (aka Nanking) |
| 1912 (April)—1928 (July) |
Beijing 北京 (aka Peking) |
| 1928 (July)—1932 (January) |
Nanjing |
| 1932 (January—December) |
Luoyang 洛陽 |
| 1932 (December)—1937 (Nov. 12) |
Nanjing |
| 1937 (Nov. 12)—1946 (May 5) |
Chongqing 重慶 (aka Chungking) |
| 1946 (May 5)—1949 (Jan. 16) |
Nanjing |
| 1949 (Jan. 16—Oct. 13) |
Guangzhou 廣州 (aka Canton or Kwangchow/Kuang-chou) |
| 1949 (Oct. 13—Nov. 29) |
Chongqing |
| 1949 (Nov. 29—Dec. 10) |
Chengdu 成都 (aka Chengtu) |
| 1949 (Dec. 10)— |
Taipei 臺北 |
Additional remarks
- Between June 29, 1928 and Sept. 27, 1949 Beijing was called Beiping 北平.
- Luoyang was referred to as "administrative capital" (xingdu 行都).
- Chongqing was called "provisional capital" (peidu 陪都).
- Strictly speaking, Taipei's official status is "seat of the central government" (zhongyang zhengfu suozaidi 中央政府所在地),
not ROC capital.
TOP HOME
[◆ ROC basic facts]
[Directory ROC history]
Please note that for additional historical information this website offers several different detailed chronologies, see list directly below.
TOP HOME
[◆ ROC basic facts]
[Directory ROC history]
● ROC national flag
● ROC national emblem
● ROC national flower
● Controversial symbols
● ROC national anthem
The ROC's national day (guoqingri 國慶日) is celebrated annually on Oct. 10 and therefore also
called "Double Tenth" (shuangshijie 雙十節). It commemorates the 1911 Wuchang Uprising (Wuchang
qiyi 武昌起義) that heralded the Hsinhai Revolution which in turn eventually
led to the collapse of the Qing dynasty and the founding of the ROC.
The three most important national symbols in the ROC today are the ROC national
flag (Zhonghua minguo guoqi 中華民國國旗), the ROC national emblem
(Zhonghua minguo guohui 中華民國國徽), and the ROC national flower
(Zhonghua minguo guohua 中華民國國花).
The
design of today's national flag as shown on the right is called "Blue Sky, White Sun and a Wholly Red Earth" (qingtian bairi
mandihong 青天白日滿地紅). The flag's three colours of blue, white and crimson collectively signify the Three Principles of the People (sanmin zhuyi 三民主義): blue—liberty, justice and
democracy (minquan 民權); white—equality, brightness and social well-being (minsheng 民生); and crimson—fraternity,
sacrifice and nationalism (minzu 民族). The Three Principles of the People are the political philosophy of Dr. Sun Yat-sen
孫逸仙, and they are mentioned in Article 1 of the ROC Constitution: 'The Republic of China,
founded on the Three Principles of the People, shall be a democratic republic of the people, to be governed by the people and for
the people.' (中華民國基於三民主義,為民有民治民享之民主共和國。)
The canton of the flag consists of the "Blue Sky with a White Sun flag" (qingtian bairiqi 青天白日旗) which was first used
for the "Revive China Society" (xing Zhong hui 興中會) in February 1895, designed by Lu Haodong 陸皓東 (1868-1895) around 1893
and still used as KMT party flag to this day. The red portion of today's national flag was added
by Sun Yat-sen in 1906, but Sun's design didn't become the ROC national flag until after his death when it officially replaced the
five-coloured flag (wuseqi 五色旗) in December 1928.
The
five-coloured flag, adopted as ROC national flag in January 1912, had represented the principle of five races under one union (wuzu
gonghe 五族共和) with five horizontal stripes—(from top to bottom) red for the Han, yellow for the Manchus, blue for the Mongols,
white for the Hui/Chinese Muslims, and black for the Tibetans.
TOP HOME
[◆ ROC basic facts]
[ROC national symbols]
The
current national flag also contains the national emblem: the circular Blue Sky with a White Sun (qingtian bairi 青天白日). It
was designed by Ho Ying-chin 何應欽 in 1924 and adopted as national emblem on Dec. 17, 1928. The twelve points of the white sun represent
the traditional twelve two-hour periods of the day (shichen 時辰), and together they stand for the spirit of unceasing progress.
TOO SIMILAR?—On Jan. 29, 2021 the ROC Legislative Yuan passed a resolution (63-37) instructing the
Ministry of the Interior to evaluate the possibility of changing the ROC national emblem, pointing
out that the national emblem is 'easily confused' with the KMT's party emblem. Both emblems have a
strong resemblance to the rectangular KMT party flag which also constitutes the upper left quarter
(canton) of the ROC national flag.
TOP HOME
[◆ ROC basic facts]
[Directory ROC national symbols]
The
plum blossom (Prunus mei), called meihua 梅花 in Chinese, was officially designated as national flower by the ROC
Executive Yuan on July 21, 1964. The triple grouping of stamens (one long and two short)
represents the Three Principles of the People. The five petals symbolize the
five branches of government (Executive Yuan, Legislative Yuan, Judicial Yuan, Control Yuan, and Examination Yuan).
TOP HOME
[◆ ROC basic facts]
[Directory ROC national symbols]
The ROC national flag has become a rare sight outside the ROC. As a result of pressure applied by the PRC globally, most
states in the world have adopted a 'One-China' policy, and therefore showing the
ROC national flag in the public sphere and at international sporting events has been banned in most countries except those maintaining formal diplomatic relations with the ROC. And of course showing the ROC
national flag is prohibited in the PRC.
In the ROC itself, attitudes concerning the display of the flag are considerably different among the supporters of the respective political camps. Quite often, supporters of the blue camp are
happy to show the flag on ROC soil but hesitate to do so abroad in order not to unnecessarily anger the PRC. In contrast, supporters of
the green camp often do the opposite—reluctant to show the flag at home because it is
regarded as a symbol of the old KMT one-party state and oppression, they eagerly display the flag
in other countries as an act of defiance, to set themselves apart from the PRC.
Many supporters of Taiwan independence reject the design of flag, national emblem and national flower as not appropriate for Taiwan
since these symbols came from China and don't reflect the Taiwanese. Especially the design of the national
flag and the emblem are controversial as they contain the symbol of the
KMT party flag, while in a modern democracy national symbols are supposed to be non-partisan.
In
this context the Taiwanese Popular Party (Taiwan minzhongdang 臺灣民眾黨) should be mentioned. The Taichung-based political organization was established on July 10, 1927 by Chiang Wei-shui 蔣渭水
(1891-1931) et. al. and banned by the Japanese colonial authorities on Feb. 18, 1931. The original
flag of the party, used between Jan. 2 and Oct. 6, 1929, contained the white sun in the same shape, size and position like in the KMT
party flag, while the background colour in the flag's upper half was blue and in the lower half red, using the same hues as the ROC
national flag. The design of the Taiwanese Popular Party flag, called shang qing xia hong zhongyang bairi 上青下紅中央白日
in Chinese, clearly indicates that the white sun symbol was not considered as being foreign in Taiwan before the island came
under ROC control. Please note that the Taiwanese Popular Party is not identical with the Taiwan
People's Party (Taiwan minzhongdang 台灣民眾黨, abbrev. TPP) which was established on Aug. 6, 2019.
Displayed below are the logos of the ROC presidential office and the five Yuan. Please note that following the return of
the DPP to power in 2016, the original logos of the ROC Presidential
Office, the ROC Legislative Yuan and the ROC Examination Yuan
which were based on the national flower have been replaced with new designs.
Presidential Office 總統府 (old logo on the left, current logo on the right) |
|
|
| Executive Yuan 行政院 |
|
Legislative Yuan 立法院 (old logo on the left, current logo on the right) |
|
|
| Judicial Yuan 司法院 |
|
Control Yuan 監察院 (old logo on the left, current logo on the right) |
|
|
Examination Yuan 考試院 (old logo on the left, current logo on the right) |
|
|
TOP HOME
[◆ ROC basic facts]
[Directory ROC national symbols]
The text of the ROC national anthem (Zhonghua minguo guoge 中華民國國歌), written by Sun Yat-sen, was
first introduced on June 16, 1924. Its music was composed in 1928 by Cheng Mao-yun 程懋筠 (1900-1957), the song was
then adopted as the KMT anthem. On June 16, 1937 the KMT Central Standing Committee
suggested to make the song the ROC national anthem, and on April 16, 1947 the approval of the proposal was announced.
The text of the ROC national anthem was translated by Tu Ting-hsiu 杜庭修 (b., d. N/A), and the musical accompaniment
is attributed to Huang Tzu 黃自 (1904-1938).
The ROC national anthem is yet another bone of contention in Taiwan. It is regarded as unsuitable by many supporters
of the green camp, not only for its origin as party anthem of the KMT but also because the beginning of the second phrase
in the first line "wu dang" (吾黨, meaning "our party" in English) is interpreted by them as standing for the KMT and
therefore rejected. Strictly speaking, the term could be also interpreted as standing for any political party/parties.
The full text—comprising 48 Chinese characters—is as follows:
| Line |
Hanyu Pinyin |
Chinese characters |
English translation |
| 1 |
Sān mín zhǔ yì,
wú dǎng sǔo zōng,
yǐ jiàn mín gúo,
yǐ jìn dà tóng. |
三民主義,
吾黨所宗,
以建民國,
以進大同。 |
Sanmin zhuyi,
our aim shall be,
to found a free land,
world peace be our stand. |
| 2 |
Zī ěr dūo shì,
wéi mín qián fēng,
sù yè fěi xiè,
zhǔ yì shì cóng. |
咨爾多士,
為民前鋒,
夙夜匪懈,
主義是從。 |
Lead on, comrades,
vanguards ye are,
hold fast your aim,
by sun and star. |
| 3 |
Shǐ qín shǐ yǒng,
bì xìn bì zhōng,
yī xīn yī dé,
guàn chè shǐ zhōng. |
矢勤矢勇,
必信必忠,
一心一德,
貫徹始終。 |
Be earnest and brave,
your country to save,
one heart, one soul,
one mind, one goal! |




Click here to listen to the ROC National Anthem in MP3 format.
TOP HOME
[◆ ROC basic facts]
[Directory ROC national symbols]
The ROC currently has a number of orders and medals that can be bestowed on merited persons from home or abroad.
(Images courtesy ROC presidential office—civilian orders,
military orders)
Selected civil decorations
① Grand Cordon of the Order of Brillant Jade (caiyu da xunzhang 采玉大勳章), created on Dec. 2, 1933
② Order of the Brillant Star (jingxing xunzhang 景星勳章), created on Feb. 12, 1941
③ Order of Propitious Clouds (qingyun xunzhang 卿雲勳章), created on Feb. 12, 1941
④ Grand Cordon of the Order of Sun Yat-sen (Zhongshan xunzhang 中山勳章), created on Feb. 12, 1941
⑤ Grand Cordon of the Order of Chiang Kai-shek (Zhongzheng xunzhang 中正勳章), created on Jan. 11, 1980

TOP HOME
[◆ ROC basic facts] [Directory ROC orders / decorations]
Selected military decorations
① Order of the Blue Sky and White Sun (qingtian bairi xunzhang 青天白日勳章), created on May 15, 1929
② Order of the Precious Tripod (baoding xunzhang 寶鼎勳章), created on May 15, 1929
③ Order of the Resplendent Banner (yunhui xunzhang 雲麾勳章), created on June 15, 1935
④ Order of National Glory (guoguang xunzhang 國光勳章), created on Oct. 10, 1943
⑤ Order of Loyalty and Valour (zhongyong xunzhang 忠勇勳章), created on Sept. 23, 1944
⑥ Order of Loyalty and Diligence (zhongqin xunzhang 忠勤勳章), created on Sept. 23, 1944

Another honour conferred by the ROC MOFA to foreign nationals (mostly outgoing diplomats stationed in Taiwan)
for contributions which helped improving bilateral relations is the Friendship Medal of Diplomacy (waijiao
jiangzhang 外交獎章).
TOP HOME
[◆ ROC basic facts]
[Directory ROC orders / decorations]
===== ===== ===== ===== =====
In this chapter, "Taiwan" is to be understood in the sense of "Taiwan area", i. e.
including Taiwan proper and the outlying archipelagos of Penghu, Kinmen and Matsu.
++++++++++ TOP HOME
[next chapter]
[previous chapter] ++++++++++
Taiwan's population today consists of several distinct groups, including Taiwanese, Mainlanders, Hakka,
indigenous peoples (aka Aborigines) as well as new immigrants from Southeast Asian countries.
Taiwan's indigenous peoples (yuanzhu minzu 原住民族) were the earliest
human inhabitants of the island and can be categorized as ethnic Austronesians. A majority of historians, anthropologists
and ethnologists believes today that the ancestors of the Austronesian peoples in Taiwan have lived there for at least
6,000 years. Those who can be identified as aborigines today make up less than 3 percent of Taiwan's total population
(according to MOI statistics 629,456 individuals at
the end of 2025).
TOP HOME
[◆ Taiwan's population and languages]
[Taiwan's ethnic groups]
Those who today insist on that they are Taiwanese (Taiwanren 台灣人) actually are in most cases descendants
of Han Chinese immigrants from the mainland who had arrived on the island in the 17th to 19th
centuries. They are also called "Holo" (heluo 河洛/helao 河老) or "Hoklo" (fulao 福佬)—a term
which is used to describe both the people and their language—and hailed from the area of Fujian province. Today, they
account for approximately 70 percent of Taiwan's population.
The Hakka (kejiaren 客家人) are considered ethnic Han Chinese and arrived in Taiwan about the same time as
the Holos. They had set off from Guangdong province on the mainland and now account for about one fifth of Taiwan's
population.
While the majority of Hakka arrived in Taiwan as families, the early Holo immigrants, typically male and single,
often married women of the indigenous Austronesian population, so now many local Taiwanese indeed also have aboriginal
DNA. However, offspring of those interethnic unions was usually brought up with an education and cultural identification
which was clearly Chinese and had no attributes of aboriginal socialization, especially the later generations.
"Mainlanders" (waishengren 外省人) usually refers to the group of Han Chinese immigrants who moved to Taiwan
from all parts of China after WWII. Most of them were soldiers and ROC government officials who came as refugees when
the mainland was overrun by Communist troops—as many as 1.2 million fled to Taiwan then. Their offspring, including
the second and third generation, are commonly regarded as mainlanders as well.
TOP HOME
[◆ Taiwan's population and languages]
[Taiwan's ethnic groups]
The term "new immigrants" (xin zhumin 新住民) refers to a group of people who have emigrated from a foreign
country into Taiwan and settled down. Most of the new immigrants in the ROC came from the PRC, Vietnam, Indonesia,
Cambodia, the Philippines, Thailand, Myanmar, Malaysia and other countries, in many cases as spouse of an ROC citizen.
Others have taken up residence in Taiwan in pursuit of advanced education or job opportunities. The ROC government
encourages offspring of mixed marriages to take cultural exchange and language trips to their parents' native countries
during school breaks, promoting related activities with subsidies and scholarships.
Since the 1990s, the population of the new immigrants continues to rise considerably. According to statistics from
the National Immigration Agency (NIA) under the ROC MOI quoted by the Taipei Times, there were more than 533,000 new immigrants (including more than 338,000 spouses
hailing from the PRC) living in the ROC at the end of March 2018.
MORE INFORMATION NEEDED? While the NIA website elucidates
the mission of the agency, elaborates on major policy and lists services offered to new immigrants, no detailed definition of the term
"new immigrants" itself can be found there, and no clarification about the difference to the term "foreign residents" (waiqiao juliu
外僑居留) either. AI (in this case ChatGPT) offers the following definition—in Taiwan
"new immigrants" refers to foreign spouses, residents from Mainland China, Hong Kong, and Macau, as well as foreign professionals
and international students who have obtained citizenship or residency. Article 2 of the New Immigrants Basic Act (xin zhumin jibenfa
新住民基本法) contains a lengthy explanation which actually adds to the confusion instead of easing it. Other ROC laws mentioned there
are the Immigration Act (ruchuguo ji
yiminfa 入出國及移民法), the Act Governing
Relations between Peoples of the Taiwan Area and the Mainland Area (Taiwan diqu yu dalu diqu renmin guanxi tiaoli
臺灣地區與大陸地區人民關係條例), the Act
for the Recruitment and Employment of Foreign Professionals (waiguo zhuanye rencai yanlan ji guyongfa 外國專業人才延攬及僱用法),
and the Act Governing Relations
with Hong Kong and Macau (Xianggang Aomen guanxi tiaoli 香港澳門關係條例). Furthermore, the website contains
monthly statistics about foreign residents in the ROC but no exact figures about citizens from the PRC/Hong Kong/Macau
living in Taiwan/the ROC as legal residents.
TOP HOME
[◆ Taiwan's population and languages]
[Taiwan's ethnic groups]
The NIA website offers
various statistics, including monthly figures
for the number of foreign residents by nationality (residents from the PRC not included) since 2013. At the end of 2025 the number
of foreign residents in the ROC exceeded one million for the first time.
The tables below show the numbers of foreign residents in the ROC from selected countries since 2013 (annual figures
for the respective year's end of December). According to NIA statistics, the five home countries of most foreign residents
in the ROC are Indonesia, Malaysia, the Philippines, Thailand, and Vietnam. While most other countries are omitted here,
the "TOTAL" column shows the sum of foreign residents from all countries combined. Please note that in many cases the
gender imbalance from a certain country may be significant.
Foreign residents in the ROC from selected Asian nations
| Year |
Indonesia |
Malaysia |
Philippines |
Thailand |
Vietnam |
Japan |
S. Korea |
Myanmar |
India |
| 2013 | 188,229 | 13,438 | 83,630 | 66,531 | 117,374 | 11,037 | 3,304 | 1,043 | 1,820 |
| 2014 | 221,848 | 16,610 | 115,872 | 74,117 | 154,422 | 11,690 | 3,822 | 1,226 | 2,322 |
| 2015 | 220,688 | 17,626 | 122,063 | 65,194 | 165,849 | 12,728 | 3,840 | 1,120 | 2,569 |
| 2016 | 227,283 | 19,014 | 135,077 | 64,360 | 179,119 | 11,399 | 4,053 | 1,256 | 2,824 |
| 2017 | 238,113 | 20,843 | 142,573 | 64,955 | 203,130 | 11,772 | 4,229 | 1,421 | 3,159 |
| 2018 | 251,282 | 21,300 | 147,420 | 64,655 | 223,825 | 11,839 | 4,382 | 1,719 | 3,478 |
| 2019 | 263,006 | 21,251 | 151,709 | 63,569 | 232,597 | 13,400 | 4,406 | 1,728 | 4,020 |
| 2020 | 253,570 | 22,726 | 154,228 | 64,017 | 239,039 | 15,914 | 5,029 | 1,893 | 4,497 |
| 2021 | 230,634 | 23,687 | 145,512 | 63,644 | 227,121 | 15,316 | 4,756 | 2,077 | 4,453 |
| 2022 | 243,795 | 23,854 | 153,278 | 73,052 | 239,580 | 15,059 | 4,871 | 2,905 | 4,811 |
| 2023 | 278,991 | 24,323 | 151,198 | 77,114 | 255,627 | 14,136 | 4,820 | 4,217 | 5,320 |
| 2024 | 317,559 | 24,118 | 166,916 | 83,037 | 289,232 | 13,494 | 4,776 | 5,743 | 5,924 |
| 2025 | 351,057 | 23,649 | 184,343 | 81,906 | 316,827 | 12,873 | 4,842 | 8,030 | 6,705 |
"S. Korea" (in the original Excel file "Korea") stands for South Korea, "S. Africa" stands for South Africa.
Foreign residents in the ROC from other selected nations
| Year |
US |
UK |
Canada |
Australia |
S. Africa |
Singapore |
France |
Germany |
TOTAL |
| 2013 | 9,356 | 1,497 | 1,853 | 712 | 779 | 1,161 | 1,048 | 719 | 511,106 |
| 2014 | 10,138 | 1,669 | 2,209 | 796 | 948 | 1,521 | 1,202 | 863 | 629,633 |
| 2015 | 9,203 | 1,602 | 2,068 | 776 | 926 | 1,354 | 1,202 | 782 | 637,843 |
| 2016 | 9,314 | 1,687 | 1,999 | 799 | 987 | 1,333 | 1,276 | 758 | 671,375 |
| 2017 | 8,917 | 1,716 | 2,031 | 765 | 1,009 | 1,372 | 1,257 | 832 | 717,736 |
| 2018 | 8,915 | 1,783 | 2,001 | 747 | 1,104 | 1,424 | 1,299 | 784 | 758,583 |
| 2019 | 9,009 | 1,897 | 2,083 | 805 | 1,178 | 1,475 | 1,344 | 826 | 785,341 |
| 2020 | 11,861 | 2,657 | 2,568 | 1,010 | 1,333 | 1,661 | 1,633 | 1,128 | 797,122 |
| 2021 | 11,267 | 2,717 | 2,621 | 992 | 1,427 | 1,648 | 1,687 | 1,136 | 752,900 |
| 2022 | 10,603 | 2,590 | 2,502 | 915 | 1,454 | 1,828 | 1,675 | 1,183 | 796,696 |
| 2023 | 10,288 | 2,559 | 2,528 | 937 | 1,545 | 1,863 | 1,673 | 1,135 | 851,932 |
| 2024 | 10,173 | 2,615 | 2,528 | 919 | 1,634 | 1,869 | 1,671 | 1,110 | 948,066 |
| 2025 | 10,374 | 2,623 | 2,509 | 930 | 1,625 | 1,896 | 1,687 | 1,134 | 1,028,945 |
The next table lists the countries with more than 1,000 citizens living in Taiwan/ROC as foreign residents in the years 2013 and 2025.
| 2013 | |
2025 |
| Country | Total | Male | Female |
Country | Total | Male | Female |
| Indonesia | 188,229 | 38,173 | 150,056 |
Indonesia | 351,057 | 118,221 | 232,836 |
| Vietnam | 117,374 | 61,277 | 56,097 |
Vietnam | 316,827 | 188,518 | 128,309 |
| Philippines | 83,630 | 32,391 | 51,239 |
Philippines | 184,343 | 79,439 | 104,904 |
| Thailand | 66,531 | 52,310 | 14,221 |
Thailand | 81,906 | 63,954 | 17,952 |
| Malaysia | 13,438 | 7,040 | 6,398 |
Malaysia | 23,649 | 12,139 | 11,510 |
| Japan | 11,037 | 6,339 | 4,698 |
Japan | 12,873 | 7,231 | 5,642 |
| US | 9,356 | 6,479 | 2,877 |
US | 10,374 | 7,504 | 2,870 |
| South Korea | 3,304 | 1,445 | 1,859 |
Myanmar | 8,030 | 3,459 | 4,571 |
| Canada | 1,853 | 1,318 | 535 |
India | 6,705 | 4,677 | 2,028 |
| India | 1,820 | 1,282 | 538 |
South Korea | 4,842 | 2,482 | 2,360 |
| UK | 1,497 | 1,211 | 286 |
UK | 2,623 | 2,132 | 491 |
| Singapore | 1,161 | 622 | 539 |
Canada | 2,509 | 1,832 | 677 |
| France | 1,048 | 727 | 321 |
Singapore | 1,896 | 1,056 | 840 |
| Myanmar | 1,043 | 411 | 632 |
France | 1,687 | 1,278 | 409 |
| |
South Africa | 1,625 | 882 | 743 |
| Cambodia | 1,229 | 600 | 629 |
| Germany | 1,134 | 886 | 248 |
| Eswatini | 1,068 | 465 | 603 |
| All countries | 511,106 | 217,178 | 293,928 |
All countries | 1,028,945 | 506,367 | 522,578 |
The NIA original source files (Excel format) can be downloaded by clicking on the respective year in the following table.
For general statistics about Taiwan's population click here. Furthermore,
the page "Foreign relations of the ROC" contains detailled data of foreign nationals in Taiwan/the ROC
from the following countries—the US, Japan,
Germany, Russia,
Singapore, Panama, and
South Africa.
TOP HOME
[◆ Taiwan's population and languages]
[Taiwan's ethnic groups]
There are a number of different languages in the Taiwan area which are spoken by local inhabitants as first
language, including the following:
- Holo (heluoyu 河洛語) aka Hoklo (fulaoyu 福佬語) or Taiwanese Hokkien (Taiwan minnanyu 台灣閩南語)
- Hakka (kejiahua 客家話)
- Mandarin Chinese (guoyu 國語) = the Peking dialect (Beijinghua 北京話), the official language of the ROC
- Several indigenous Austronesian languages
While Mandarin Chinese, Holo and Hakka belong to the family of Sinitic languages and dialects, the Austronesian languages
do not. However, this seemingly simple categorization of languages in modern Taiwan has been complicated for political
reasons in connection with cross-strait relations and an evolving national identity.
Today, about 70 percent of Taiwan's population speak Holo, and it has become common to refer to Holo as 'Taiwanese'
(taiyu 台語 or Taiwanhua 台灣話, in Holo mostly referred to as "Taigi"), with the both terms being interchangeable.
An intense ideological debate has been going on in Taiwan about the proper categorization of Holo, in particular whether that
language should be considered being a variety of the Southern Min dialect (minnanhua 閩南話)—prevalent in the southern
part of Fujian province—or not.
Most linguists accept that Holo is indeed a variety of the Southern Min dialect as both languages are mutually intelligible.
(Southern Min itself belongs to seven to ten dialect groups—depending on classification—of spoken Chinese, which also include
Mandarin, but it should be noted that Chinese features an extraordinarily high degree of internal diversity, and in most cases
these dialect groups are mutually unintelligible.) Other varieties of Southern Min include Hokkien (Fujianhua 福建話),
Amoy (Xiamenhua 廈門話) and Teochew (Chaozhouhua 潮州話).
Migrants from Fujian (most of them hailing from Quanzhou 泉州 and Zhangzhou 漳州) started to settle in Taiwan since the
17th century, and over time the Hokkien of their descendants began to deviate from their original dialect spoken
in mainland China due to influences from and interaction with Taiwan's indigenous peoples, the Dutch and later the Japanese.
Over the centuries, several local variants of Holo developed. Holo as spoken in Tainan, Kaohsiung and Taitung is regarded
the prestige accent. Distinct Holo variations include the accents spoken in Yilan, in Lukang, in Taipei/Hsinchu, in
Taichung/Changhua/Chiayi as well as on Penghu. In general, the term 'Taiwanese' is now applied to all of these Holo
variations.
Hardliners in the camp of pro-independence advocates deny any connection between Taiwan and China. As they regard
Mandarin a 'colonizer's language', the name Southern Min dialect is loathed and rejected because the term views Holo as
a variant of the Chinese variety spoken in Fujian province on the mainland.
On the other hand, it is an undeniable fact that the Holo variations common in today's Taiwan and the Southern Min
dialect are mutually intelligible, while Holo and other languages which influenced its development to some degree like
Japanese, Dutch or indigenous tongues are mutually unintelligible. When a native Holo speaker from Taiwan with no foreign
language skills travels to Kinmen or Xiamen 廈門, he or she would have little trouble communicating with residents there in
their local dialect. Furthermore, the same person would not be able to have a conversation with any Taiwanese aborigines who
only speak their indigenous tribal language, or with Dutch or Japanese people without
foreign language proficiency.
It could be argued that using the term 'Taiwanese' exclusively for Holo can be misleading for at least two reasons.
First, there is not one single language predominantly spoken in Taiwan today but several. Second, just 500 years ago Holo
wasn't even a native language in Taiwan's population—at that time only Austronesian languages were spoken by the island's
inhabitants, and the indigenous peoples have resided on Taiwan much longer than any other ethnic group. (This page
offers more information about Taiwan's indigenous peoples and their
marginalization.) All said, it would be more appropriate and fair to
use the term 'Taiwanese' for a group of languages, including Holo, Hakka and the Austronesian languages.
TOP HOME
[◆ Taiwan's population and languages]
[Taiwan's languages]
Endangered languages
After the 1987 lifting of martial law, restrictions which had been imposed against the use of all Chinese dialects
except Mandarin as well as the Austronesian languages of Taiwan's indigenous peoples were completely removed in the 1990s,
and today Holo is omnipresent in Taiwan as spoken language and in the media. Meanwhile, most of the languages of the
indigenous peoples and also Hakka are considered endangered as the numbers of their speakers in younger generations are
declining dramatically. The phenomenon of young Taiwanese not learning the local dialect of their ancestors and speaking
mostly Mandarin Chinese instead can even be observed in the Holo segment, so efforts for preserving native languages
in Taiwan have been extended to Holo as well.
TOP HOME
[◆ Taiwan's population and languages]
[Taiwan's languages]
===== ===== ===== ===== =====
EDITORIAL NOTE—This chapter does not offer a complete historical account with a continuous chain of events but highlights certain
major aspects in Taiwan's history. A complementary chronology presents a more cursory glance.
Furthermore, the history of Taiwan covers Taiwan proper only and does not include that of Penghu
or the islands belonging to Fujian province.
++++++++++ TOP HOME
[next chapter]
[previous chapter] ++++++++++
(Jump to History of the ROC)
Taiwan has been inhabited for millennia by non-Chinese indigenous peoples which are
categorized as Austronesian. In general, Taiwan's indigenous peoples did not set up states in the Western sense but lived in
tribal societies which had no written history or recorded interaction with other countries or peoples overseas.
Taiwan was first sighted by Western explorers in the 16th century. After the onset of Taiwan's colonization,
the indigenous population was decimated and marginalized, and a succession of various political entities controlled either
parts of the island or all of Taiwan.
- Dutch Formosa (1624–1662: 38 years) controlled parts of Taiwan in the south and later also in the
north with the United East India Company (Dutch: Vereenigde Oostindische Compagnie, abbrev. VOC).
- Spanish Formosa (1626–1642: 16 years), maintained a presence in northern Taiwan that was terminated
by the Dutch through military intervention.
- Kingdom of Tungning (1661–1683: 22 years), set up in southern Taiwan by Ming dynasty loyalist Koxinga
and his followers who defeated and expelled the Dutch.
- Qing dynasty Taiwan (1683–1895: 212 years), defeated the Kingdom of Tungning and expanded control over
most of Taiwan's plains.
- Republic of Formosa (1895: ca. 5 months), a short-lived enterprise by Qing dynasty loyalists to fend
off Japanese rule.
- Japanese colonial period (1895–1945: 50 years), the first political entity to gain control over Taiwan
in its entirety.
- Taiwan/ROC (since October 1945: more than 80 years and counting).
Displayed below are the flags which were officially flown
in Taiwan during the various historical periods since 1624.
| VOC |
|
|
Republic of Formosa |
|
| Spain (Cross of Burgundy) |
|
Japan |
|
| Kingdom of Tungning |
|
War flag of Japan's army |
|
| Qing dynasty |
|
ROC |
|
TOP HOME
[◆ Taiwan's history]
[Directory history overview]
The following chronology lists events that the chief researcher deems helpful for a
better understanding of the history of the ROC and/or Taiwan, especially in terms of political status and changes thereof. Please
note that the timeline shows no events prior to the 16th century because before that no affairs with international
relevance took place in the Taiwan area. (Jump to the bottom of this timeline)
| Year |
Date, event |
| 1544 |
Portuguese navigators sailing through the Taiwan Strait on their way to Japan sight Taiwan and
call it "Ilha Formosa", meaning "beautiful island". [Note—Some online sources provide conflicting
information about when this event took place. Other years mentioned in this context are 1516, 1517, 1542 and 1590] |
| 1582 |
A Portuguese junk under the command of Captain André Feio on its way to Japan accidentally runs aground
near Taiwan's south-western tip; the ca. 300 shipwrecked survivors spent 45 days on the island, battling malaria and frequent
raids from indigenous people; eventually succeed in building a raft and returning to Macau |
| 1622 |
Dutch colonists—including merchants of the United East India Company
(Vereenigde Oostindische Compagnie, abbrev. VOC)—set up a base at Magong on Penghu and build a fort |
| 1624 |
Chinese forces expel the Dutch from Penghu but allow them to withdraw to Taiwan and establish
a fortress near today's Tainan |
| 1626 |
Spanish colonists construct a port at today's Keelung |
| 1629 |
Spanish colonists occupy the area of today's Tamsui |
| 1642 |
August: The Protestant Dutch lay siege on the Spanish fort at Keelung ("Battle of San Salvador" / jilong
zhi zhan 雞籠之戰), the Catholic Spaniards are defeated and forced to leave Taiwan |
| 1644 |
June: Troops led by a clan of Manchu invaders topple the Ming dynasty in China, the Qing dynasty
is established |
| 1661 |
March 24: Ming loyalist Zheng Chenggong 鄭成功 aka "Koxinga" (guoxingye 國姓爺) establishes
a garrison on Penghu |
| April 2: Koxinga's fleet arrives near "Tayouan" (in Chinese: 大員 or 台員; present-day Anping 安平
area of Tainan) at southern Taiwan and subsequently attacks the Dutch |
| June 14: Koxinga proclaims the "Kingdom of Tungning" (dongning
wangguo 東寧王國) on Taiwan |
| 1662 |
Feb. 1: The last Dutch defenders surrender to Koxinga's troops |
| June 23: Koxinga succumbs to an illness |
| 1683 |
July 10–16: Battle of Penghu (Penghu haizhan 澎湖海戰), the fleet and troops of
the Kingdom of Tungning are eventually defeated by the Qing under the leadership of Admiral Shi Lang 施琅 |
| Sept. 5: Koxinga's grandson Zheng Keshuang 鄭克塽 surrenders to the Qing, Taiwan is incorporated
into the Qing empire as a prefecture of Fujian province |
| 1867 |
March 12: Rover Incident (luomeihao shijian 羅妹號事件)—The US merchant ship Rover crashes at a
coral reef near the southern tip of Taiwan, 14 sailors are killed by Paiwan Aborigines; the US send punitive expeditions in June
and July with poor results as their troops are unable to cope with the scorching heat |
| 1871 |
Dec. 12: Mudan Incident (bayaowan shijian 八瑤灣事件)—Ryukyuan sailors are hit by a typhoon near Taiwan
and shipwrecked, in the following days 54 of them are massacred by Paiwan people; Japan sends a punitive expedition in 1874 |
| 1885 |
Oct. 12: After French troops captured Keelung in October 1884 during the 1883–1885 Sino-French War
(Zhong Fa zhanzheng 中法戰爭), the Qing court decides that Taiwan's administrative status is to be upgraded to province,
the measure was officially implemented in 1887 with Liu Mingchuan 劉銘傳 as first provincial governor (xunfu 巡撫) |
| 1894 |
Aug. 1: The First Chinese-Japanese War (Jiawu zhanzheng 甲午戰爭) begins |
| Nov. 24: The "Revive China Society" (xing Zhong hui 興中會) is established |
| 1895 |
April 17: The defeated Qing cede Taiwan and Penghu to Japan in the Treaty of Shimonoseki |
| May 25: The establishment of an independent "Republic of Formosa"
(Taiwan minzhuguo 台灣民主國) is proclaimed in Taipei |
| May 29: The first contingent of Japanese troops lands at Aodi 澳底 east of Keelung |
| June 6: After Japanese units capture Keelung, top leaders of the Republic of Formosa flee
to Xiamen 廈門 (Fujian province) |
| Oct. 21: The Republic of Formosa collapses after the advance of Japanese troops from northern Taiwan
to Tainan |
| 1905 |
Aug. 20: The "Revive China Society" is reorganized in Tokyo and renamed "United League"
(tongmenghui 同盟會) |
| 1911 |
Oct. 10: An uprising in Wuchang (today's Wuhan, Hubei Province) leads to the eventual collapse of
the Qing dynasty, a chain of events also known as "Hsinhai Revolution" |
| Nov. 1: Yuan Shikai—since 1901 in charge of the powerful Beiyang Army (beiyangjun
北洋軍)—is appointed prime minister (zongli dachen 總理大臣) of the Qing |
| 1912 |
Jan. 1: The ROC is established in Nanjing with Sun Yat-sen as president |
| Feb. 12: The Qing renounce the throne after Yuan Shikai had assured them that the monarchy could not
be saved, the history of Imperial China comes to an end after more than two millennia |
| Feb. 14: Sun Yat-sen resigns, the following day Yuan Shikai is appointed ROC president |
| Aug. 25: The "United League" is renamed "Kuomintang" (KMT) |
| 1916 |
June 6: Yuan Shikai dies, national unity disintegrates in the warlord period |
| 1921 |
July: The Chinese Communist Party (CCP) is founded in Shanghai |
| 1924 |
Jan. 27—Aug. 24: Sun Yat-sen holds sixteen lectures about the Three Principles
of the People (sanmin zhuyi 三民主義) in Guangzhou |
| 1925 |
March 12: Sun Yat-sen dies of cancer in Beijing |
| 1928 |
April 27: The Auditing Yuan (shenjiyuan 審計院) is formally established |
| July: The national unity of the ROC is restored with the successful end of the Northern Expedition and defeat
of the last remaining warlords |
| Oct. 8: The Organic Act of the Nationalist Government of the Republic of China (Zhonghua minguo guomin
zhengfu zuzhifa 中華民國國民政府組織法) is promulgated |
| Oct. 10: A preparatory office for the Examination Yuan (kaoshiyuan choubeichu 考試院籌備處) is established |
| Oct. 20: The Organic Act of the Legislative Yuan (lifayuan zuzhifa 立法院組織法)
is promulgated |
| Oct. 25: The Executive Yuan is set up |
| Nov. 16: The Judicial Yuan is established |
| 1930 |
Jan. 6: The Examination Yuan is formally established |
| 1931 |
Feb. 2: The Control Yuan is formed based on its forerunner, the Auditing Yuan |
| Sept. 18: Japanese troops invade Manchuria |
| 1937 |
July 7: The Marco Polo Bridge Incident marks the beginning of the Second Chinese-Japanese War
aka Eight-Year War of Resistance (banian kangzhan 八年抗戰), invasion of the Chinese heartland |
| 1943 |
Nov. 22–26: Cairo Conference with US President Roosevelt, British PM Churchill and ROC President
Chiang Kai-shek |
| Dec. 1: The Cairo Declaration is broadcast on radio |
| 1945 |
July 17—Aug. 2: Potsdam Conference |
| July 26: The Potsdam Declaration is issued by US President
Truman, British PM Churchill and ROC President Chiang Kai-shek |
| Aug. 1: The Potsdam Agreement is signed |
| Aug. 15: Japan surrenders unconditionally to the Allies |
| Sept. 2: The Japanese First Instrument of Surrender is signed
on the battleship "USS Missouri" in the Bay of Tokyo, end of WWII |
| Sept. 9: Japan formally surrenders to the ROC in Nanjing |
| Oct. 25: Administrative handover of Taiwan to China in Taipei, ROC government
officials and troops arrive in Keelung and Kaohsiung |
| 1947 |
Jan. 10: Taiwan provincial governor Chen Yi announces that the new ROC
Constitution would not apply to Taiwan after it went into effect in mainland China on Dec. 25, 1947 |
| Feb. 28: Violent protests by locals against the ROC government in Taiwan, followed by a
lengthy, bloody crackdown carried out by ROC government troops, beginning of the era of White Terror |
| May 25: Chiang Kai-shek imposes martial law over the ROC |
| Nov. 21–23: General elections for the National Assembly (NA) are held in the ROC |
| 1948 |
Jan. 21–23: General elections for the Legislative Yuan are held in the ROC |
| April 18: The "Temporary Provisions Effective During the Period of Communist Rebellion" (dongyuan
kanluan shiqi linshi tiaokuan 動員戡亂時期臨時條款) are enacted |
| 1949 |
April 23: ROC government troops evacuate Nanjing |
| Oct. 1: The PRC is established with Beijing as its capital |
| Dec. 10: The seat of the ROC central government is set up in Taipei |
| 1950 |
Jan. 6: The UK recognizes the PRC, the ROC severs diplomatic ties with the UK |
| June 25: The Korean War breaks out (cease-fire on July 27, 1953) |
| 1951 |
Sept. 8: The San Francisco Peace Treaty (SFPT) is signed, Japan
gives up its claim over Taiwan |
| 1952 |
April 28: The Treaty of Peace between the ROC and Japan is signed
in Taipei, the same day the SFPT goes into effect |
| 1958 |
Aug. 23: The PLA launches a 44-day attack on the islands of Kinmen with 41,000 artillery
shells fired in two hours, the ROC forces there dig in and return fire |
| 1964 |
Oct. 16: Successful test explosion of the PRC's first nuclear bomb at the Malan Base
馬蘭基地 near Lop Nor 羅布泊 (Xinjiang) |
| 1967 |
June 17: The PRC successfully tests a hydrogen bomb at Malan/Lop Nor |
| 1969 |
Dec. 20: Supplementary elections for Taiwanese members of the NA and the
Legislative Yuan are held for the first time |
| 1971 |
Oct. 25: China's seat in the United Nations is transferred from the ROC to the PRC
according to UN Resolution 2758 |
| 1972 |
Sept. 29: Japan establishes diplomatic relations with the PRC,
formal ties with the ROC are severed |
| 1975 |
April 5: ROC President Chiang Kai-shek passes away, succeeded by VP Yen Chia-kan |
| 1978 |
May 20: Chiang Ching-kuo is sworn in as ROC president |
| Aug. 12: The PRC and Japan sign a peace treaty in Beijing |
| 1979 |
Jan. 1: Diplomatic ties between the ROC and the US are severed |
| April 10: US President Jimmy Carter signs the Taiwan Relations Act
(TRA) into law |
| Nov. 26: The IOC Executive Board holds a meeting in Nagoya and passes a
resolution recognizing the Olympic committee in Beijing as "Chinese Olympic Committee"
(Zhongguo aoweihui 中國奧委會), deciding that Taiwan would henceforth have to compete under the name "Chinese Taipei"
without being allowed to use the ROC national flag and national anthem |
| Dec. 10: Opposition activists and journalists organize a rally in Kaohsiung leading
to violence; the events are later referred to as the "Kaohsiung Incident" (Gaoxiong shijian 高雄事件) |
| 1986 |
Sept. 28: The DPP is founded in Taipei |
| 1987 |
July 1: The "National Security Law During the Period of National Mobilization
for Suppression of the Communist Rebellion" (dongyuan kanluan shiqi guojia anquanfa 動員戡亂時期國家安全法)
is promulgated |
| July 15: Martial law is lifted in Taiwan and on Penghu |
| 1988 |
Jan. 13: ROC President Chiang Ching-kuo passes away, succeeded by Taiwan-born ROC VP
Lee Teng-hui |
| 1990 |
June 21: The ROC Council of Grand Justices announces that senior parliamentarians
should terminate their responsibilities by Dec. 31, 1991 |
| June 28—July 4: The first National Affairs Conference (guoshi huiyi 國是會議)
is staged in Taipei's Grand Hotel |
| Nov. 21: The Straits Exchange Foundation (haixia jiaoliu jijinhui 海峽交流基金會, abbrev. haijihui 海基會
in Chinese and SEF in English) is established in the ROC |
| 1991 |
May 1: The "Temporary Provisions Effective During the Period of Communist Rebellion" (enacted in 1948) are abolished |
| May 22: The "Punishment of Rebellion Act" (chengzhi panluan tiaoli 懲治叛亂條例) is abolished |
| June 3: The "Suppression of the Communist Rebellion Act" (kanluan shiqi jiansu feidie tiaoli 戡亂時期檢肅匪諜條例) is abolished |
| Dec. 16: The Association for Relations across the Taiwan Strait (haixia liang'an guanxi xiehui 海峽兩岸關係協會,
abbrev. haixiehui 海協會 in Chinese and ARATS in English) is established in the PRC |
| Dec. 21: Elections for the Second NA
are held in the ROC, the KMT secures a two-thirds majority |
| 1992 |
May 15: The ROC Executive Yuan approves a revision of Article 100 of the ROC Criminal Code (Zhonghua minguo
xingfa 中華民國刑法) which decriminalizes the peaceful advocacy of Taiwan independence; promulgated the following day by ROC
President Lee Teng-hui |
| Oct. 28–30: SEF-ARATS meeting in Hong Kong |
| Nov. 7: Martial law is lifted on Kinmen and Matsu |
| Dec. 19: Elections for the Second
Legislative Yuan are held in the ROC |
| 1993 |
April 27–29: SEF-ARATS summit in Singapore |
| 1995 |
June 7–10: Lee Teng-hui visits the US |
| July 21–28: The PRC fires ballistic missiles over Taiwan, followed by military exercises from August to October |
| 1996 |
March 8–11: The PRC fires ballistic missiles into waters close to Taiwan, followed by military exercises |
| March 23: First direct presidential election in the ROC, Lee Teng-hui
of the KMT wins with a clear majority (54.9 percent of valid votes) |
| 2000 |
March 18: Chen Shui-bian of the DPP is elected
ROC president with a simple majority (39.3 percent of valid votes), marking the first peaceful and constitutional transfer of power to an opposition
party in the history of the ROC |
| 2002 |
Jan. 1: Taiwan and China officially become members of the World Trade Organization (WTO) |
| 2004 |
March 20: Chen Shui-bian is re-elected ROC president |
| 2008 |
March 22: Ma Ying-jeou of the KMT is elected
ROC president |
| 2009 |
May 18–27: Taiwan participates at the World Health Assembly (WHA) of the World Health
Organization (WHO) with observer status under the name "Chinese Taipei" |
| 2012 |
Jan. 12: Ma Ying-jeou is re-elected ROC president |
| 2014 |
March 18—April 10: Sunflower movement occupation of the Legislative Yuan |
| 2015 |
Nov. 7: Meeting between Ma Ying-jeou and Xi Jinping in Singapore |
| 2016 |
Jan. 16: Tsai Ing-wen of the DPP is elected
ROC president, her party also wins an absolute majority of the seats in the Legislative Yuan |
| 2020 |
Jan. 11: Tsai Ing-wen is re-elected ROC president, the DPP keeps its absolute majority of the seats in the Legislative Yuan |
| 2022 |
Aug. 2–3: A delegation led by US House of Representatives Speaker Nancy Pelosi visits Taiwan |
| 2024 |
Jan. 13: Lai Ching-te of the DPP is elected
ROC president, both the DPP and the KMT fail to gain a majority of the seats in the Legislative Yuan |
| 2025 |
July 26 / Aug. 23: DPP-backed recalls of 31 KMT legislators are rejected by voters |
Notes The origin of the terms Jiawu zhanzheng and Hsinhai Revolution
is explained in the page "Tools" under the headline "The ROC calendar" (see The Ganzhi
cycle and its terminology). A useful list of additional timelines and chronologies can be found here.
TOP HOME
[◆ Taiwan's history]
[Directory history overview]
● Go Dutch
● The Koxinga interlude
● Taiwan's plains occupied by the Qing
● Japan takes charge
● Returned to the Han
The dominance of Han Chinese in Taiwan's population and mainstream culture is conspicuous and yet a
relatively recent phenomenon. Modern historians and anthropologists agree that before the 16th
century—less than 500 years ago—there was no noteworthy Chinese population on the island, while
indigenous Austronesian peoples are known to have populated Taiwan
for at least 6,000 years; according to the Council of Indigenous Peoples
(CIP), archeological evidence confirms the presence of Malayo-Polynesian peoples on the island dating back
12,000 to 15,000 years.
The Chinese Ming Dynasty (1368-1644) which preceded the Qing Dynasty (1644-1911) did not show any interest
in Taiwan. Between 1405 and 1433 Admiral Zheng He 鄭和 (1371-1433), the most famous explorer of the Ming, undertook
seven large-scale expeditionary voyages and reached the shores of Vietnam, Indonesia, Sri Lanka, India, the Arab
peninsula and even the east coast of Africa. None of these seven expeditions had Taiwan listed on their itineraries.
Zheng He did make a brief, unplanned visit to Taiwan in 1430 when he was shipwrecked while returning to China from
Southeast Asia, and while he found it inhabited by aborigines, he evidently did not encounter any Chinese settlements
there. The Ming's indifference towards Taiwan is also clearly indicated by their dealings with the Dutch—when the Dutch
in 1622 tried to establish a base on Penghu, Ming China immediately intervened and
warned them that Penghu was Chinese territory. The Dutch were eventually expelled from there in 1624 but were allowed
to withdraw to Taiwan where the presence of the Dutch drew no objections from the Ming.
Whereas Taiwan was ignored by the Ming government, a certain amount of trade took place between Chinese merchants and
aborigines on Taiwan in the 16th century. The Chinese bought products such as coal, sulfur and gold, and they
sold iron and textiles to the aborigines. Similarly sought after by the Chinese were mullet fish as well as deer
products—venison, skins, and antlers. In the early 17th century there was a small network of Chinese traders
living on the island, according to estimates less than 2,000 persons. Also, Chinese pirates appear to have found Taiwan an
amenable base in the first half of the 17th century.
DISAMBIGUATION—In the context of Taiwan's history, the term 'colonization' has more than one connotation. For information
about an alternative use of that term please click here.
TOP HOME
[◆ Taiwan's history]
[Directory colonization]
The period of Taiwan's
history which began in the 17th century was unquestionably a history of colonization. The first foreign power to
gain a colonial foothold on Taiwan was the Netherlands which established a base called Fort Zeelandia (relanzhe cheng
熱蘭遮城) in present-day Anping District of Tainan (southern Taiwan) in 1624. Parts of
northern Taiwan came under Spanish sway in 1626, with two settlements—one around Fort Antonio (hongmao cheng 紅毛城)
aka Fort San Domingo (sheng duomingge cheng 聖多明哥城) at Tamsui and one around Fort San Salvador (sheng saerwaduo
cheng 聖薩爾瓦多城) on Heping Island off Keelung.
The Dutch drove the Spanish out of Taiwan in 1642, and while the presence of the Spanish remained a small footnote in history, the activities
of the Dutch in Taiwan set in motion a development that would thoroughly change the island. (A detailed account on the era of the Dutch
in Taiwan can be found in Tonio Andrade's "How Taiwan Became Chinese", published in 2005; click here.) Map 1
shows the areas where the two European colonist powers were active on Taiwan, marked in grey—the Dutch in the south (1624-1662)
and the Spanish in the north (1626-1642).
Dutch governors on Taiwan 1624–1662
| Tenure |
Name of governor |
|
Tenure |
Name of governor |
| 1624–1625 |
Martinus Sonck † |
1644–1646 |
François Caron |
| 1625–1627 |
Gerard F. de With |
1646–1649 |
Pieter A. Overtwater |
| 1627–1629 |
Pieter Nuyts |
1649–1653 |
Nicolaas Verburgh |
| 1629–1636 |
Hans Putmans |
1653–1656 |
Cornelis Caesar |
| 1636–1640 |
Johan van der Burgh † |
1656–1661 |
Frederik Coyett |
| 1640–1643 |
Paulus Traudenius |
1661 |
Hermanus Clenk |
| 1643–1644 |
Maximiliaan Le Maire |
1661–1662 |
F. Coyett (second time) |
Spanish governors on Taiwan 1626–1642
| Tenure |
Name of governor |
|
Tenure |
Name of governor |
| 1626–1629 |
Antonio Carreño Valdés |
1635–1637 |
Francisco Hernández |
| 1629–1632 |
Juan de Alcarazo |
1637–1639 |
Pedro Palomino |
| 1632–1634 |
Bartolomé Díaz Barrera |
1639–1640 |
Cristóbal Márquez |
| 1634–1635 |
Alonso García Romero |
1640–1642 |
Gonzalo Portillo |
In order to turn their Taiwanese possession into a profitable enterprise, the Dutch and their
United East India Company (VOC) sought to encourage agricultural production of rice and sugar cane.
Unfortunately for the Dutch, the indigenous residents were mostly content to plant just enough for
themselves and their families and had no interest in raising crops for sale. For this reason, Chinese
immigration was encouraged. Rules, laws and regulations imposed and implemented by the Dutch created a
calculable economic and social environment, making Taiwan a safe place for Chinese to move to and invest
in. Under the influx of the Chinese since the early 1630s the Dutch colony prospered—as Dutch governor
Nicolaas Verburgh (in office 1649-1653) then put it: 'The Chinese are the only bees on Formosa that give
honey.' Towards the end of the Dutch era in Taiwan, estimates put the number of Chinese living in Taiwan
in a range between 10,000 and 60,000.
TOP HOME
[◆ Taiwan's history]
[Directory colonization]
The presence
of the Dutch in Taiwan ended when they were expelled by forces led by Ming loyalist Zheng Chenggong 鄭成功
(1624-1662, also known as "Koxinga" [guoxingye 國姓爺]). After the Dutch surrendered at their main base
in southern Taiwan in 1662, they retreated to the former Spanish base in northern Taiwan but were attacked there
by Koxinga's troops as well and eventually withdrew from Keelung in the
second half of 1668.
Koxinga's "Kingdom of Tungning" (dongning wangguo 東寧王國) covered only a territory of modest size
(see grey area in Map 2), and it also did not last long—just a little
over two decades. In 1683 the Manchu rulers of the Qing Dynasty turned to Taiwan because the island and Penghu were the hideout of rebels under Koxinga's leadership, the last stronghold
of anti-Qing resistance they sought to eliminate. Qing forces led by Admiral Shi Lang 施琅 (1621-1696) first took the Penghu
archipelago in July 1683, the Tungning Kingdom of Koxinga's descendants finally surrendered on Sept. 5 that year.
Rulers of the Tungning Kingdom (1662–1683)
| Tenure |
Name of ruler |
Born/Died |
Native province |
| 2/1662—6/1662 † |
Zheng Chenggong 鄭成功 |
1624-1662 |
<Japan> |
| 6/1662—1662 |
Zheng Xi 鄭襲 |
b. N/A, d. 1663 |
Fujian |
| 1662—2/1681 † |
Zheng Jing 鄭經 |
1642-1681 |
Fujian |
| 1681 † |
Zheng Kezang 鄭克臧 |
1662-1681 |
Fujian |
| 1681—9/1683 |
Zheng Keshuang 鄭克塽 |
1670-1707 |
Taiwan |
| 1682–1683 |
Feng Xifan 馮錫範 (regent) |
b. N/A, d. 1683 |
Fujian |
TOP HOME
[◆ Taiwan's history]
[Directory colonization]
The Qing made Taiwan a prefecture (fu 府) under Fujian province, the administrative seat was established
at Tainan. The first Qing official in charge of the local administration based
in Tainan was prefectural magistrate ("prefect", zhifu 知府) Jiang Yuying 蔣毓英. In the first decades
of Qing rule over Taiwan, the authorities tried to limit immigration to the island and barred families from traveling
there to ensure the immigrants would return to their families and ancestral graves in China. Illegal migration to Taiwan
continued in spite of that, and the restrictions were relaxed following the 1760s. By 1811 there were more than 1.9
million Chinese immigrants on Taiwan.
Although the Qing never controlled Taiwan in its entirety, they nonetheless regarded Taiwan as a whole as their
possession. The development of administrative subdivisions as shown below reflects how control of Qing forces over
the island gradually advanced (the red asterisk [*] indicating newly established
subdivisions).
• 1684–1875: Taiwan Prefecture 臺灣府 under Fujian Province
| Period |
Subdivisions |
Counties/subprefectures |
| 1684–1721 |
3 |
Fengshan County 鳳山縣, Taiwan County 臺灣縣, and Zhuluo County 諸羅縣 |
| 1721–1727 |
4 |
Fengshan County, Taiwan County, Zhuluo County plus new Changhua County 彰化縣 * |
| 1727–1730 |
5 |
Changhua County, Fengshan County, Taiwan County, Zhuluo County plus new Penghu Subprefecture 澎湖廳* |
| 1730–1787 |
6 |
Changhua County, Fengshan County, Taiwan County, Zhuluo County, Penghu
Subprefecture plus new Tamsui Subprefecture 淡水廳* |
| 1787–1811 |
6 |
Changhua County, Chiayi County 嘉義縣 * (= former Zhuluo County), Fengshan County, Taiwan County, Penghu Subprefecture, Tamsui
Subprefecture |
| 1812–1875 |
7 |
Changhua County, Chiayi County, Fengshan County, Taiwan County, Penghu Subprefecture, Tamsui Subprefecture, plus new Kavalan
Subprefecture 噶瑪蘭廳 * |
It should be noted that the additions of new counties on Taiwan proper represented the encroachment of ethnic Han settlers
and Qing administration on previously indigenous territory. On the other hand, when Penghu
became a subprefecture under Fujian's Taiwan Prefecture in 1727, it was merely an administrative transfer as Penghu had been
considered part of the Chinese empire since the Southern Song dynasty (1126-1279), and it had been listed under Fujian's
Quanzhou Prefecture (Quanzhou fu 泉州府) in the dynasties of Yuan (1279-1368) and Ming (1368-1644).
• 1875–1887: Two prefectures on Taiwan under Fujian Province
| Prefectures under Fujian Province |
12 subdivisions |
| Taipei prefecture 臺北府 * |
Hsinchu County 新竹縣 *
Tamsui County 淡水縣
Yilan County 宜蘭縣 *
Keelung Subprefecture 基隆廳 * |
| Taiwan prefecture 臺灣府 |
Changhua County Chiayi County
Fengshan County Hengchun County 恆春縣 *
Taiwan County
Penghu Subprefecture
Pulishe Subprefecture 埔里社廳 *
Puyuma Subprefecture 卑南廳 * |
Following the 1871 Mudan Incident (Bayaowan shijian 八瑤灣事件) and the punitive military action Japan subsequently took against Taiwan in 1874, as well as the 1884-1885
French blockade of northern Taiwan, the Qing became aware of the growing strategic importance of Taiwan and in
1885 decided to upgrade it to a province in its own right, a measure that was implemented in 1887.
• 1887–1895: Taiwan Province, with four prefectures
| Prefectures |
14 subdivisions |
[Map of Taiwan's subdivisions under Qing rule, ca. 1894] |
| Taipei Prefecture 臺北府 |
① Hsinchu County
② Tamsui County
③ Yilan County
④ Keelung Subprefecture |
| Taiwan Prefecture 臺灣府 |
⑤ Changhua County
⑥ Miaoli County 苗栗縣 *
⑦ Taiwan County 臺灣縣 *
⑧ Yunlin County 雲林縣 *
⑨ Pulishe Subprefecture |
| Tainan Prefecture 臺南府 * |
⑩ Anping County 安平縣 *
⑪ Chiayi County
⑫ Fengshan County
⑬ Hengchun County
⑭ Penghu Subprefecture |
| Taitung Prefecture 臺東直隸州 * |
⑮ [no further subdivisions!] |
Notes: While many of the Qing's administrative subdivisions (Changhua
County, Chiayi County, Hsinchu County, Keelung Subprefecture, Miaoli County, Penghu Subprefecture, Yilan County, and Yunlin County) are roughly corresponding to the respective ROC's cities and counties at
the beginning of the 21st century, others no longer exist in their original form.
Ⓧ Anping County (Anping xian 安平縣)—set up
in 1887 based on former Taiwan County; centered around the area of today's Tainan City.
Ⓧ Fengshan County (Fengshan xian 鳳山縣)—set up
in 1685, covering parts of today's Kaohsiung City and Pingtung
County.
Ⓧ Hengchun County (Hengchun xian 恆春縣)—set up
in 1875 at the southern tip of the island in today's Pingtung County.
Ⓧ Kavalan Subprefecture (Gamalan ting 噶瑪蘭廳)—set
up in 1812, covered roughly the area of today's Yilan County and renamed in 1875.
Ⓧ Pulishe Subprefecture (Pulishe ting 埔里社廳)—set
up in 1875, covered roughly the area of today's Puli Town in Nantou County.
Ⓧ Puyuma Subprefecture (Beinan ting 卑南廳)—set up
in 1875, upgraded to Taitung Prefecture in 1887.
Ⓧ Taiwan County (Taiwan xian 臺灣縣)—first set up
in 1684 on the territory of the former Kingdom of Tungning, roughly covering the area of today's Tainan City; renamed "Anping County" in 1887. That year the Qing established a new Taiwan County
which covered parts of today's Taichung City and Nantou
County.
Ⓧ Tamsui Subprefecture (Danshui ting 淡水廳)/Tamsui
County (Danshui xian 淡水縣)—set up in 1730, covered large parts of today's Taipei City
and New Taipei City. The subprefecture was reorganized as county in 1875.
Ⓧ Zhuluo County (Zhuluo xian 諸羅縣)—set up in 1685
as northernmost area controlled by the Qing. When the Qing subsequently advanced further north, Zhuluo County was expanded correspondingly
until Changhua County was established as a separate administrative unit in 1721. The remaining
Zhuluo County was renamed Chiayi County in 1787.
Qing governors of Taiwan Province (1885-1895)
| Tenure |
Taiwan Provincial Governor |
Born/Died |
Native province |
| 12/1885—6/1891 |
Liu Mingchuan 劉銘傳 |
1836-1896 |
Anhui |
| 6/1891—11/1891 @ |
Shen Yingkui 沈應奎 |
1821-1895 |
Zhejiang |
| 1891—10/1894 |
Shao Youlian 邵友濂 |
1840-1901 |
Zhejiang |
| 10/1894—5/1895 @ |
Tang Jingsong 唐景崧 |
1841-1903 |
Guangxi |
TOP HOME
[◆ Taiwan's history]
[Directory colonization]
By the time the Qing
ceded Taiwan and Penghu to Japan in accordance
with the Treaty of Shimonoseki after the lost 1894/1895 First Sino-Japanese War,
Han Chinese settlers and their descendants were already dominating Taiwan's plains and had driven the majority of
surviving Austronesian aborigines into the sparsely populated mountainous regions
of the island, areas where the Qing authorities had no real control. (The grey areas in Map 3 represent parts of the island which were fully controlled
by the Qing authorities around 1894.)
The most fierce resistance which advancing Japanese forces encountered in the colonial
period was from the indigenous peoples in the mountains, and it was broken with brutal force. Major uprisings were
the Truku War (tailuge zhanzheng 太魯閣戰爭) in 1914, the Dafen Incident (dafen shijian 大分事件) in 1915,
and most notably the Musha Incident aka Wushe Rebellion (Wushe shijian 霧社事件) in 1930.
Administrative adjustments which were implemented in August 1920 reflected the degree of control the Japanese had assumed
in Taiwan's mountains, and when rule over Taiwan was handed to the ROC in 1945 after Japan was defeated in WWII, effective local administration had already
been established in all parts of the island.
In addition to military suppression against armed resistance, approaches of the Japanese
towards the aborigines also included anthropological study and assimilation. Initially the Japanese
had only two categories for Taiwan's indigenous peoples:
• "domesticated" aborigines (shoufan 熟蕃 / jukuban, literally: 'cooked savages') and
• "wild" aborigines (shengfan 生蕃 / seiban, literally: 'raw savages'). Japanese
anthropologist Ino Kanori 伊能 嘉矩 (1867-1925) was the first scientist who undertook systematic research
about Taiwan's indigenous peoples, and in 1899 his book "Notes on Taiwan Barbarians" (Taiwan fanren
shiqing 台灣蕃人事情 / Taiwan Banjin Jijō 台湾蕃人事情) was published where eight groups
were identified—Amis, Atayal, Paiwan, Puyuma, Tsalisen (zelixian zu 澤利先族, i.e. Rukai), Tsao 曹族
(= Tsou), Vonum (= Bunun), and Pepo (= Pingpu). Assimilation saw some members of the indigenous peoples
recruited as soldiers for Japan's imperial army during WWII in a unit called Takasago Volunteers (gaosha
yiyongdui 高砂義勇隊 / Takasago Gyūtai).
A concise general description of Japan's colonial rule over Taiwan can be found
here.
TOP HOME
[◆ Taiwan's history]
[Directory colonization]
The process which resulted in the displacement and decimation of Taiwan's indigenous peoples was by
and large completed before the end of WWII, but their discrimination
would continue for decades. Noteworthy improvements only occurred after the
lifting of martial law in 1987.
After the handover of Taiwan's administration from Japan to
the ROC, the new government enacted the "Regulations on Restoration of Original Names of Citizens of Taiwan"
(Taiwan shengmin xingming huifu banfa 台灣省民姓名回復辦法) on Dec. 9, 1945, and although the law's
main purpose was to reverse measures imposed by Japan's colonial government encouraging the Taiwanese
to adopt Japanese names (for example, Lee Teng-hui called himself
"Iwasato Masao" [岩里政男] in the colonial era), it resulted in many aborigines being forced by uncooperative
civil servants in household registration offices to adopt Chinese names, disrupting their culture and societies.
Further explanations about the situation of the indigenous peoples in today's Taiwan can be found
here.
TOP HOME
[◆ Taiwan's history]
[Directory colonization]
● Abstract of events
● Still relevant
● Major figures of the Republic of Formosa (1895)
● Republic of Formosa chronology
● Full text of the Declaration of Independence
Contemporary advocates of Taiwan independence sometimes cite the Republic of Formosa (Taiwan
minzhuguo 台灣民主國) aka "Democratic Republic of Taiwan" as a precedent underscoring the legitimacy
of an independent Taiwan, an early manifestation of a Taiwanese national identity. The events in connection
with the advent of Taiwan being a Japanese colony for half a century
do indeed deserve a closer look.
After the Qing dynasty (1644-1911)—the Manchu rulers of China—was defeated in the First Sino-Japanese
War (1894-1895), the Qing court agreed in the Treaty of Shimonoseki
(maguan tiaoyue 馬關條約) to cede Taiwan, Penghu and the
Liaodong peninsula to Japan 'in perpetuity'. The Qing notified the
authorities on the other side of the Taiwan Strait that the islands were no
longer Chinese territory, and they ordered the officials and troops stationed there to return to the mainland.
When the news spread in Taiwan, an outpouring of public indignation there decried the abandonment by
Beijing. The general perception of Taiwan's Chinese residents was that China had sold them out, and local
intellectuals feared Chinese culture and civilization were in jeopardy. Qiu Fengjia, a Hakka and leading member
of the landed gentry from Changhua, urged Tang Jingsong (Taiwan
provincial governor [xunfu 巡撫] since September 1894) to fend off a
Japanese takeover by declaring Taiwan an independent republic. The
political calculation was that one or more of the European powers like the UK or France would come to Taiwan's
aid against Japan. Tang reluctantly agreed. Chen Jitong was picked for the position of FM to promote the republic
abroad.
On May 25, 1895 the Republic of Formosa's Declaration of Independence
(Taiwan minzhuguo duli xuanyan 台灣民主國獨立宣言) was proclaimed, and "Forever Qing" (yong Qing
永清) was chosen as the newly established republic's era name (nianhao 年號). Tang Jingsong made it clear
that his government recognized Chinese suzerainty, with the republic having the status of a vassal state. A parliament
comprising members of the gentry, merchant class, and literati was appointed. Although the Republic of Formosa was
in name a democracy, its leadership was not recruited by application of regular democratic mechanisms.
For the Western powers, however, Taiwan was of much less strategic interest than the Liaodong peninsula
(Liaodong bandao 遼東半島) in northeast China, and they did not intervene on behalf of Taiwan or Qing China.
Taiwan's transfer to Japanese rule under the Treaty of Shimonoseki was regarded as legitimate, and the Western powers
therefore did not recognize the Republic of Formosa. Furthermore, the Qing government in Beijing was anxious not to
offend Japan, fearing the Japanese might change their minds about giving the Liaodong peninsula back to China.
Consequently, when the Japanese arrived to take possession of their new colony, the republicans were on their
own. Available resistance forces included remnant regular Qing troops as well as local militias and volunteer fighters. The
fighting motivation of the Qing troops was limited, and following the fall of Keelung
less than a week after the Japanese landed, most of the Chinese soldiers left Taiwan and returned to China, among
them Tang Jingsong, Qiu Fengjia and many others. After that, local militias under the command of Liu Yongfu (who
never formally assumed the title of president) kept up the resistance, but they were no match for the Japanese units
who were not only well-trained, disciplined and equipped with modern weapons but also received necessary reinforcements.
Guerrilla attacks by local groups of insurgents and partisan bands did little to slow down the Japanese advance but
provoked brutal reprisals. Given the conditions, the collapse of the republic could not be averted. Today, the military
campaign which lasted from May 29 to Nov. 18 is known as "Yiwei War" (yiwei zhanzheng 乙未戰爭); yiwei
乙未 was the denomination of the year 1895.
Article 5 of the Treaty of Shimonoseki granted registered inhabitants of ceded territories a grace period
until May 8, 1897 to sell their property and leave, after that date they would be regarded Japanese subjects.
Some 6,400 persons, including many members of the upper gentry, moved from Taiwan to China in those two years.
(Taiwan's population in 1895 stood at ca. 3 million.)
TOP HOME
[◆ Taiwan's history]
[Directory Republic of Formosa]
Due to the enormous significance of the topic "independence" in today's Taiwan, interest in the circumstances
and motivations for the establishment of the Republic of Formosa in 1895 is justified. Obviously, the aspirations and
reasons for the founding of the republic back then are not identical with those of contemporary activists for Taiwan
independence. The biggest difference is that today's advocates strive for true independence from China, whereas the
republicans in 1895 wanted independence only from Japan but not from China—the recognition of China's suzerainty and
the era name are all strong indications that the independence move was not a sign of a national identity separate from
China but a desperate measure by local politicians to ward off foreign rule. Essentially, the republic's leaders had
remained loyal Chinese subjects. They had no intention to sever ties to China completely but wished to keep a connection
of some kind. Naturally, most of them returned to the motherland after their enterprise failed.
On the other hand, the manner how quickly the Qing court was willing to abandon Taiwan and hand it over to a hostile
power could very well have sown the seeds of bitterness and alienation in Taiwan's ethnic Han population and over time
given rise to a distinctive Taiwanese identity on the island. In consequence of the 1895 cession, Taiwan and its
inhabitants grew inevitably more and more detached from China during 50 years of Japanese rule.
The Republic of Formosa's national flag has been cherished by activists as a potent symbol for Taiwan
independence to this day, its design showing a yellow tiger on a blue background. It should be noted that tigers, like giant pandas,
are an endemic species on the Chinese mainland but not in Taiwan's wildlife—Taiwan's most iconic endemic species include
the Formosan Black Bear (Taiwan heixiong 台灣黑熊, Ursus thibetanus
formosanus), the Formosan Landlocked Salmon (Taiwan yinghua gouwengui 台灣櫻花鉤吻鮭,
Oncorhynchus masou formosanus), the Formosan Blue Magpie (Taiwan lanque 台灣藍鵲, Urocissa caerulea), the Taiwan Blue Pheasant aka Swinhoe's Pheasant
(lanxian 藍鷳, Lophura swinhoii), and the Formosan Sambar
Deer (Taiwan shuilu 台灣水鹿, Cervus unicolor swinhoei).
TOP HOME
[◆ Taiwan's history]
[Directory Republic of Formosa]
- Tang Jingsong 唐景崧 (1841-1903, Guangxi): president, May 25—June 6
- Qiu Fengjia 丘逢甲 (1864-1912, Taiwan): military commander-in-chief
- Liu Yongfu 劉永福 (1837-1917, Guangxi): leader of the republic, June 26—Oct. 20
- Chen Jitong 陳季同 (1851-1907, Fujian): foreign minister
TOP HOME
[◆ Taiwan's history]
[Directory Republic of Formosa]
Please note that all dates in the timeline below refer to the year 1895.
| March 23 |
Units of the Japanese army begin to land on Penghu and head
for Magong Castle 媽宮城 (in the area of today's Magong 馬公) |
| March 24 |
The Chinese defenders on Penghu surrender after fierce fighting |
| April 17 |
A peace treaty between Qing China and Japan is signed at
Shimonoseki 下關 (Honshu 本州, Japan); Taiwan, Penghu and the Liaodong peninsula in northeast China are ceded to Japan
'in perpetuity' |
| April 23 |
Triple Intervention (sanguo ganshe 三國干涉) of Russia, Germany and France against the cession
of the Liaodong peninsula to Japan |
| May 5 |
Japan agrees to retrocede the Liaodong peninsula to China in return for an increased indemnity of 30
million Kuping taels (kuping yin 庫平銀) |
| May 8 |
China and Japan exchange letters of ratification of the Treaty of Shimonoseki |
| May 10 |
Admiral Kabayama Sukenori 樺山 資紀 is appointed Japan's first Governor-general of Taiwan |
| May 20 |
A Qing imperial edict orders all Qing officials (including provincial governor Tang Jingsong), officers
and soldiers to leave Taiwan |
| May 25 |
A declaration of independence is issued in Taipei, the Republic
of Formosa is proclaimed with Tang Jingsong as president (zongtong 總統) |
| May 29 |
The first contingent of Japanese troops heads for Tamsui 淡水 but changes course after receiving reports
about large Chinese forces being assembled there, lands at Aodi 澳底 east of Keelung instead |
| June 2 |
The first major military engagement takes place at Ruifang 瑞芳 |
| June 3 |
Formal ceremony for the transfer of sovereignty over Taiwan from China to Japan in the morning aboard
the Japanese ship "Yokohama Maru" (橫濱丸) in Keelung harbour, Qing China is represented by Li Jingfang 李經方 (1855-1934,
Anhui) |
| The garrison at Keelung is overpowered after fighting and gives up |
| June 4 |
News of the military defeat at Keelung reaches Taipei |
| Tang Jingsong and Qiu Fengjia flee to Tamsui at night |
| June 6 |
Tang Jingsong and his family, Qiu Fengjia and most of the senior officers of the republic sail to Xiamen
廈門 (in China's Fujian province) aboard the German steamship "Arthur" |
| Leaderless troops of Taipei garrison start looting the city |
| June 7 |
Japanese troops enter Taipei after local businessmen invited them in to restore order |
| June 14 |
Japanese Governor-general Kabayama arrives in Taipei and starts establishing the Japanese administration,
subsequently thousands of Chinese POWs captured at Keelung, Taipei and Tamsui are repatriated to Xiamen |
| June 17 |
The office of the Governor-general carries out an official inauguration ceremony in Taipei and proclaims
Taiwan to be Japanese territory |
| June 22 |
Hsinchu falls |
| June 26 |
Liu Yongfu takes over as leader of the republic at Tainan |
| Aug. 14 |
Japanese troops enter Miaoli |
| Aug. 27 |
Battle of Baguashan 八卦山 near Changhua |
| Sept. 6 |
Japanese troops occupy Talibu 他裡霧 (today's Dounan City 鬥南鎮, Yunlin
County) |
| Oct. 9 |
The Japanese capture Chiayi |
| Oct. 10 |
Liu Yongfu offers the Japanese a conditional surrender |
| Oct. 12 |
The Japanese reject Liu Yongfu's offer for conditional surrender |
| Oct. 13 |
The Cihou Fort 旗後砲台 near Kaohsiung is bombarded and seized
by the Japanese navy |
| Oct. 19 |
Liu Yongfu escapes disguised as a coolie |
| Oct. 20 |
Liu Yongfu crosses the Taiwan Strait to Xiamen aboard the British merchant ship "SS Thales" |
| Oct. 21 |
Tainan capitulates, end of the Republic of Formosa |
| Nov. 8 |
The "Liaotung Convention" (liaonan tiaoyue 遼南條約)
between Qing China and Japan is signed in Beijing, formalizing the retrocession of the Liaodong peninsula |
| Nov. 18 |
Japanese Governor-general Kabayama declares the island 'pacified' |
TOP HOME
[◆ Taiwan's history]
[Directory Republic of Formosa]
The text of the official declaration of independence as issued on May 25, 1895 is shown directly below.
| Republic of Formosa—Declaration of Independence | 台灣民主國獨立宣言 |
| The Japanese have affronted China by annexing our territory of Formosa, and the supplications of us, the People of Formosa, at the portals of the Throne have been made in vain. We now learn that the Japanese slaves are about to arrive. |
照得日本欺淩中國,索臺灣一島,台民兩次電奏,勢難挽回。知倭奴不日即將攻入。 |
| If we suffer this, the land of our hearths and homes will become the land of savages and barbarians, but if we do not suffer it, our condition of comparative weakness will certainly not endure long. Frequent conferences have been held with the Foreign Powers, who all aver that the People of Formosa must establish their independence before the Powers will assist them. |
吾等如甘受,則吾土吾鄉歸夷狄所有。如不甘受,防備不足故,斷難長期持續。屢與列強折衝,無人肯援,台民惟有自主。 |
| Now, therefore, we, the People of Formosa, are irrevocably resolved to die before we will serve the enemy. And we have in Council determined to convert the whole island of Formosa into a Republican state, and that the administration of all our State affairs shall be organized and carried on by the deliberations and decisions of Officers publicly elected by us the People. |
台民願人人戰死而失台,決不願拱手而讓台。台民公議自立為民主之國。決定國務由公民公選官吏營運。 |
| But as in this new enterprise there is needed, as well for the resistance of Japanese aggression as for the organization of the new administration, a man to have chief control, in whom authority shall centre, and by whom the peace of our homesteads shall be assured—therefore, in view of the respect and admiration in which we have long held the Governor and Commander-in-Chief, Tang Ching Sung, we have in Council determined to raise him to the position of President of the Republic. |
為達計畫且抵抗倭奴侵略。新政府機構中樞必須有人主持,確保鄉里和平。素敬仰巡撫承宣布政使唐景崧,會議決定推舉為臺灣民主國大總統。 |
| An official seal has been cut, and on the second day of fifth moon, at the ssu hour [9 a.m. 25 May], it will be publicly presented with all respect by the notables and people of the whole of Formosa. At early dawn on that day, all of us, notables and people, farmers and merchants, artizans and tradesmen, must assemble at the Tuan Fang Meeting House, that we may in grave and solemn manner inaugurate this undertaking. |
初二日公同刊刻印信,全臺灣紳民上呈。當日拂曉,士農工商公集籌防局,開始嚴肅此壯舉。 |
Let there be neither delay nor mistake. A Declaration of the whole of Formosa. [Seal in red as follows] An announcement by the whole of Formosa |
乞勿遲誤 以全台之民佈告之。 |
TOP HOME
[◆ Taiwan's history]
[Directory Republic of Formosa]
● Historical prelude
● Governor-generals
● Government structure
● Administrative division
● Demographic development
● Timeline of important events
● Major earthquakes between 1895 and 1945
● POW camps
Between 1895 and 1945 Taiwan was under Japanese control as a colony, a period known as Japanese colonial
period (Riju shidai 日據時代 / Rizhi shiqi 日治時期). The image on the right shows the emblem of Japan's
colonial government in Taiwan.
The process which led to the Qing losing Taiwan and the Pescadores to Japan began
in 1885 when Japan declared that Korea was henceforth to be considered as falling under the joint sphere of influence of Japan
and China. That was not a small issue as China's suzerainty over Korea had been unchallenged until then. When the Qing in
May 1894 sent troops to Korea at the request of the Korean emperor to help suppress a massive peasant uprising, Japan regarded
that as a challenge and sent troops to Korea as well. Japan installed a new government in Korea in June 1894, the legitimacy
of which the Qing rejected, and by August 1894 the two countries were officially at war. In that conflict, dubbed Sino-Japanese
War (jiawu zhanzheng 甲午戰爭), Japan's armed forces proved to be superior to
the Qing's army, and in April 1895 the Qing were forced to sign the Treaty of Shimonoseki
(maguan tiaoyue 馬關條約). According to the conditions of the treaty, Qing China had to cede Taiwan, the Pescadores (Penghu)
and the Liaodong Peninsula to Japan, recognize Korea's independence, among other painful concessions. A "Republic of Formosa" established in Taiwan by pro-Qing loyalists to fend off the Japanese takeover
collapsed within five months.
TOP HOME
[◆ Taiwan's history]
[Directory Japanese colonial rule]
The following list shows Japan's Governor-generals of Taiwan (Taiwan zongdu 台灣總督 / Taiwan sōtoku 台湾総督)
for the five decades of colonial rule.
| Tenure |
Name [Hanyu pinyin of Chinese pronunciation] |
Born/Died |
| 5/1895—6/1896 |
Kabayama Sukenori 樺山 資紀 [Huashan Ziji] |
1837-1933 |
| 6/1896—10/1896 |
Katsura Taro 桂 太郎 [Gui Tailang] |
1848-1913 |
| 10/1896—2/1898 |
Nogi Maresuke 乃木 希典 [Naimu Xidian] |
1849-1912 |
| 2/1898—4/1906 |
Kodama Gentaro 兒玉 源太郎 [Eryu Yuantailang] |
1852-1906 |
| 4/1906—4/1915 |
Sakuma Samata 佐久間 左馬太 [Zuojiujian Zuomatai] |
1844-1915 |
| 5/1915—6/1918 |
Ando Sadayoshi 安東 貞美 [Andong Zhenmei] |
1853-1932 |
| 6/1918—10/1919 † |
Akaishi Motojiro 明石 元二郎 [Mingshi Yuanerlang] |
1864-1919 |
| 10/1919—9/1923 |
Den Kenjiro 田 健治郎 [Tian Jianzhilang] © |
1855-1930 |
| 9/1923—9/1924 |
Uchida Kakichi 內田 嘉吉 [Neitian Jiaji] © |
1866-1933 |
| 9/1924—7/1926 |
Izawa Takio 伊沢 多喜男 [Yize Duoxinan] © |
1869-1949 |
| 7/1926—6/1928 |
Kamiyama Mitsunoshin 上山 滿之進 [Shangshan Manzhijin] © |
1869-1938 |
| 6/1928—7/1929 |
Kawamura Takeji 川村 竹治 [Chuancun Zhuzhi] © |
1871-1955 |
| 7/1929—1/1931 |
Ishizuka Eizo 石塚 英藏 [Shizhong Yingcang] © |
1866-1942 |
| 1/1931—3/1932 |
Ota Masahiro 太田 政弘 [Taitian Zhenghong] © |
1871-1951 |
| 3/1932—5/1932 |
Minami Hiroshi 南 弘 [Nan Hong] © |
1869-1946 |
| 5/1932—9/1936 |
Nakagawa Kenzo 中川 健藏 [Zhongchuan Jiancang] © |
1875-1944 |
| 9/1936—11/1940 |
Seizo Kobayashi 小林 躋造 [Xiaolin Jizao] |
1877-1962 |
| 11/1940—12/1944 |
Hasegawa Kiyoshi 長谷川 清 [Changguchuan Qing] |
1883-1970 |
| 12/1944—10/1945 |
Ando Rikichi 安藤 利吉 [Anteng Liji] |
1884-1946 |
Please note that the first seven and the last three of Japan's Governor-generals in Taiwan were high-ranking
military officers (army generals or navy admirals), the Governor-generals between 1919 and 1936 were civilians.
TOP HOME
[◆ Taiwan's history]
[Directory Japanese colonial rule]
After its establishment the agency of the Governor-general had three departments—Department of Civil Affairs (minzhengju 民政局 / Minsei
Kyoku), Department of Army (lujunju 陸軍局 / Rikugun Kyoku), and Department of Navy (haijunju 海軍局 / Kaigun Kyoku); the army and
navy departments were merged to the Department of Military Affairs (junwuju 軍務局 / Gunmu Kyoku) in April 1896. The Department of Civil
Affairs was renamed minzhengbu 民政部 / Minseibu in June 1898, and by November 1901 its authority was expanded with six subordinate agencies:
▶ Department of Communications (tongxinju 通信局 / Tsūshin Kyoku),
was renamed Department of Postal Affairs (dixinju 遞信局 / Teishin Kyoku 逓信局) in June 1919,
▶ Department of Engineering (tumuju 土木局 / Doboku Kyoku),
▶ Department of Finance (caiwuju 財務局 / Zaimu Kyoku),
▶ Department of General Affairs (zongwuju 總務局 / Sōmu Kyoku 総務局), was
renamed Department of Internal Affairs (neiwuju 内務局 / Naimu Kyoku) in October 1909,
▶ Department of Production (zhichanju 殖産局 / Shokusan Kyoku); and
▶ Police Headquarters (jingcha benshu 警察本署 / Keisatsu Honsho),
abolished in October 1909 and reorganized as Aboriginal Affairs Headquarters (fanwu benshu 蕃務本署 / Banmu Honsho).
In 1945 subordinate agencies of the Governor-general included the following:
▶ Department of Agriculture and Commerce (nongshanju 農商局 / Nōshō
Kyoku),
▶ Department of Education (wenjiaoju 文教局 / Bunkyō Kyoku),
▶ Department of Finance (caiwuju 財務局 / Zaimu Kyoku),
▶ Department of Mines and Industry (kuanggongju 礦工局 / Kōkō
Kyoku 鉱工局),
▶ Department of Police (jingwuju 警務局 / Keimu Kyoku);
▶ Bureau of Foreign Affairs (waishibu 外事部 / Gaiji Bu),
▶ Bureau of Judicial Affairs (fawubu 法務部 / Hōmu Bu); and
▶ Secretariat to the Governor-general (zongdu guanfang 總督官房 / Sōtoku
Kanbō 総督官房).
TOP HOME
[◆ Taiwan's history]
[Directory Japanese colonial rule]
In the first years when the Japanese colonial authorities were in the process of establishing and consolidating
their administration, the administrative divisions frequently changed. Regions in the mountain ranges of central
Taiwan were not covered by Japan's administrative units before 1920 (see grey areas in maps below). In November 1901
twenty local administrative offices (ting 廳 / chō 庁) were established.
① Taihoku (Taibei ting 台北廳 / Taihoku chō 台北庁);
② Kirun (Jilong ting 基隆廳 / Kīrun chō 基隆庁);
③ Shinko (Shenkeng ting 深坑廳 / Shinkō chō 深坑庁);
④ Giran (Yilan ting 宜蘭廳 / Giran chō 宜蘭庁);
⑤ Toshien (Taoziyuan ting 桃仔園廳 / Tōshien chō 桃仔園庁);
⑥ Shinchiku (Xinzhu ting 新竹廳 / Shinchiku chō 新竹庁);
⑦ Byoritsu (Miaoli ting 苗栗廳 / Byōritsu chō 苗栗庁);
⑧ Taichu (Taizhong ting 台中廳 / Taichū chō 台中庁);
⑨ Shoka (Zhanghua ting 彰化廳 / Shōka chō 彰化庁);
⑩ Nanto (Nantou ting 南投廳 / Nantō chō 南投庁);
⑪ Toroku (Douliu ting 斗六廳 / Toroku chō 斗六庁);
⑫ Kagi (Jiayi ting 嘉義廳 / Kagi chō 嘉義庁);
⑬ Ensuiko (Yanshuigang ting 鹽水港廳 / Ensuikō chō 鹽水港庁);
⑭ Tainan (Tainan ting 台南廳 / Tainan chō 台南庁);
⑮ Hozan (Fengshan ting 鳳山廳 / Hōzan chō 鳳山庁);
⑯ Banshoryo (Fanshuliao ting 蕃薯寮廳 / Banshoryō chō 蕃薯寮庁);
⑰ Ako (Ahou ting 阿猴廳 / Akō chō 阿猴庁);
⑱ Koshun (Hengchun ting 恆春廳 / Kōshun chō 恆春庁);
⑲ Taito (Taidong ting 台東廳 / Taitō chō 台東庁); and
⑳ Hoko (Penghu ting 澎湖廳 / Hōko chō 澎湖庁).
In October 1909 the administrative subdivisions in Taiwan were redesigned into twelve local administrative offices.
① Taihoku (Taibei ting 台北廳 / Taihoku chō 台北庁);
② Giran (Yilan ting 宜蘭廳 / Giran chō 宜蘭庁);
③ To'en (Taoyuan ting 桃園廳 / Tōen chō 桃園庁);
④ Shinchiku (Xinzhu ting 新竹廳 / Shinchiku chō 新竹庁);
⑤ Taichu (Taizhong ting 台中廳 / Taichū chō 台中庁);
⑥ Nanto (Nantou ting 南投廳 / Nantō chō 南投庁);
⑦ Kagi (Jiayi ting 嘉義廳 / Kagi chō 嘉義庁);
⑧ Tainan (Tainan ting 台南廳 / Tainan chō 台南庁);
⑨ Ako (Ahou ting 阿猴廳 / Akō chō 阿猴庁);
⑩ Taito (Taidong ting 台東廳 / Taitō chō 台東庁);
⑪ Karenko (Hualiengang ting 花蓮港廳 / Karenkō chō 花蓮港庁); and
⑫ Hoko (Penghu ting 澎湖廳 / Hōko chō 澎湖庁).
In August 1920 the administrative subdivisions were rearranged according to the system used in Japan,
and by 1926 the Japanese had subdivided their colony into eight prefectures:
① Taihoku Prefecture (Taibei zhou 台北州 / Taihoku shū) = Taipei—included
today's Keelung City, New Taipei City, Taipei City, Yilan County;
② Shinchiku Prefecture (Xinzhu zhou 新竹州 / Shinchiku shū) = Hsinchu—included
today's Hsinchu City, Hsinchu County, Miaoli County, Taoyuan City;
③ Taichu Prefecture (Taizhong zhou 台中州 / Taichū shū) = Taichung—included
today's Changhua County, Nantou County, Taichung City;
④ Tainan Prefecture (Tainan zhou 台南州 / Tainan shū) = Tainan—included
today's Chiayi City, Chiayi County, Tainan City, Yunlin County;
⑤ Takao Prefecture (Gaoxiong zhou 高雄州 / Takao shū) = Kaohsiung—included
today's Kaohsiung City, Pingtung County;
⑥ Karenko Prefecture (Hualiangang ting 花蓮港廳 / Karenkō chō 花蓮港庁)
= Hualien—included today's Hualien County;
⑦ Taito Prefecture (Taidong ting 台東廳 / Taitō chō 台東庁) =
Taitung—included today's Taitung County; and
⑧ Hoko Prefecture (Penghu ting 澎湖廳 / Hōko chō 澎湖 庁) =
Penghu—included today's Penghu County.
Please note that between September 1920 and July 1926 Hoko was not a prefecture in its own right but a district
(jun 郡 / gun) under Takao prefecture. Taiwan's administrative structure in the initial phase after the takeover by the ROC at the end of WWII resembled the Japanese system in 1945.
TOP HOME
[◆ Taiwan's history]
[Directory Japanese colonial rule]
Shortly after the Japanese took over Taiwan, the island had an estimated population of 2.7 million in 1897. During the
Japanese colonial period the authorities conducted censuses seven times which yielded the following population figures
for Taiwan (source: Japanese Wikipedia).
• 1905—3,039,751;
• 1915—3,479,922;
• 1920—3,655,308;
• 1925—3,993,408;
• 1930—4,592,537;
• 1935—5,212,426; and
• 1940—5,872,084.
In 1905, Taiwan's population included 57,335 Japanese and 82,795
Aborigines, the respective numbers for 1935 were 270,674 Japanese and 207,900 Aborigines (source: George Watson
Barclay, Colonial Development and Population in Taiwan,
p. 16).
The table below shows official population figures of 1941. Accordingly, the
total population in Taiwan's eight prefectures then stood at 6,249,468. (Source:
World War II Database)
| Prefecture |
Population |
|
Prefecture |
Population |
| Taihoku 台北州 |
1,233,882 |
Takao 高雄州 |
930,383 |
| Shinchiku 新竹州 |
838,011 |
Karenko 花蓮港庁 |
153,785 |
| Taichu 台中州 |
1,380,187 |
Taito 台東庁 |
93,138 |
| Tainan 台南州 |
1,550,695 |
Hoko 澎湖庁 |
69,387 |
After the end of WWII more than 300,000 Japanese left the island which—according to statistics available on the
website of the MOI—had 6,090,860 inhabitants
in 1946 and 7,554,399 inhabitants in 1950. (For Taiwan's population statistics since 1946 please click here.)
TOP HOME
[◆ Taiwan's history]
[Directory Japanese colonial rule]
| 1895 |
April 17: Japan and China sign the Treaty
of Shimonoseki—Taiwan, Penghu and the Liaodong peninsula in northeast China are ceded
to Japan 'in perpetuity' |
| May 8: Japan and China exchange letters of ratification of the Treaty of Shimonoseki |
| May 10: Admiral Kabayama Sukenori is appointed Japan's first Governor-general of Taiwan |
| May 25: Pro-Qing loyalists declare 'independence' and proclaim
the "Republic of Formosa" to fend off the Japanese takeover |
| May 29: The first contingent of Japanese troops lands at Aodi 澳底 east of Keelung |
| June 3: Formal ceremony for the transfer of sovereignty over Taiwan from China to Japan in the morning aboard the Japanese
ship "Yokohama Maru" (橫濱丸) in Keelung harbour |
| June 14: Japanese Governor-general Kabayama arrives in Taipei and starts
establishing the Japanese administration |
| June 17: The office of the Governor-general carries out an official inauguration ceremony in Taipei and proclaims Taiwan to
be Japanese territory |
| Oct. 21: Forces of the Republic of Formosa capitulate in Tainan |
| Nov. 8: The Liaotung Convention between Qing China and Japan is signed in Beijing,
formalizing the retrocession of the Liaodong peninsula |
| Nov. 18: Japanese Governor-general Kabayama declares the island 'pacified' |
| 1896 |
March 31: Japan's Imperial Diet (diguo yihui 帝國議會 / Teikoku Gikai 帝国議会)—i. e.
parliament—enacts the Law Relating to Laws and Ordinances to Be Enforced in Taiwan (yingyu Taiwan shixing faling xiangguan
zhi falü 應於臺灣施行法令相關之法律 / Taiwan ni shikō subeki hōrei nikan suru hōritsu
台湾ニ施行スヘキ法令ニ関スル法律) aka "Law 63" |
| 1898 |
March: The Taiwan Medical School (Taiwan zongdufu yixuexiao 台灣總督府醫學校) is founded based
on the Great Japan Taiwan Hospital (da Riben Taiwan bingyuan 大日本台灣病院) which was established in 1895 in Taipei |
| June 20: Goto Shinpei 後藤 新平 (1857-1929) takes office as chief of the civil administration (minzheng
zhangguan 民政長官) in Taiwan, remains on that position until Nov. 13, 1906 |
| 1899 |
June 5: The Bank of Taiwan (Taiwan yinhang 台灣銀行) is formally established, starts operation
on Sept. 26 that year as Taiwan's central bank |
| Nov. 8: The Railway Ministry (Taiwan zongdufu jiaotongju tiedaobu 台灣總督府交通局鐵道部) is
established |
| 1900 |
Sept. 28—Nov. 10: Sun Yat-sen visits Taiwan, stays in Keelung and Taipei (further visits by Sun in Taiwan
in August 1913 and June 1918) |
| 1906 |
March: Law 63 is revised under Law 31, which restricts the powers of the Governor-general |
| 1907 |
Nov. 15: Hakka insurgents kill 57 Japanese police officers in Beipu 北埔 (in today's Hsinchu
county) in an incident called Beipu Uprising (Beipu shijian 北埔事件), followed by a brutal crackdown, overall death toll more than 150 |
| 1910 |
April: Implementation of the Five-year Plan for Governing Aborigines aka Five Year Plan to Subdue
the Savages (wunian lifan jihua 五年理蕃計畫) begins |
| 1911 |
March 28: Chinese reformer Liang Qichao 梁啟超 arrives in Taiwan for a 2-week visit |
| 1914 |
March 3: Execution of KMT activist Lo Fu-hsing 羅福星 in Taipei by the Japanese colonial authority for
his involvement in the 1913 Miaoli Incident (Miaoli shijian 苗栗事件) |
| May-August: Truku War (tailuge zhanzheng 太魯閣戰爭) in today's Hualien
county |
| Dec. 20: The Taiwan Assimilation Society (Taiwan tonghuahui 台灣同化會) is founded in Taipei
by Itagaki Taisuke 板垣 退助, Lin Hsien-tang 林獻堂 and others (dissolved by the authorities on Jan. 26, 1915) |
| 1915 |
April: The Aboriginal Affairs Headquarters (fanwu benshu 蕃務本署) is abolished, the aborigines'
administration is returned to the police bureau of mountainous areas |
| May 27: Dafen Incident (dafen shijian 大分事件)—Bunun warriors led by their chief Raho
Ari 拉荷 • 阿雷 attack a Japanese police station in the Hualien area, killing 12 Japanese police officers |
| July-August: Tapani Incident (jiaobanian shijian 噍吧哖事件) / Hsilai Temple Incident
(xilaian shijian 西來庵事件) in Tainan City under the leadership of Yu Ching-fang 余清芳, Lo Chun 羅俊, Chiang Ting
江定 and others, several hundred people die in fighting, 132 are subsequently executed |
| 1919 |
March: The palace-like office building for the Japanese Governor-general in Taipei is completed after
almost seven years of construction |
| 1920 |
Jan. 11: The New People Society aka New People Association (xin minhui 新民會) is
established in Tokyo by Taiwanese students |
| 1921 |
Jan. 30: Lin Hsien-tang and other Taiwanese activists submit a petition (one of a total of 15 issued
between 1921 and 1934) in Tokyo, start of the Petition Movement (qingyuan yundong 請願運動) |
| April 1: In reaction to the Taiwanese petition, the Imperial Diet declares Japanese law to be
effective in Taiwan (Law No. 3) |
| Oct. 17: The Taiwanese Cultural Association (Taiwan wenhua xiehui 台灣文化協會) is established
in Taipei by Chiang Wei-shui 蔣渭水 |
| 1923 |
Feb. 21: After gaining approval from authorities in Tokyo, the League for the Establishment of
a Formosan Parliament (Taiwan yihui qicheng tongmenghui 台灣議會期成同盟會) is established there |
| April 15: The Taiwanese Cultural Association issues the first edition of the Taiwan Minpao / Taiwan
People News (Taiwan minbao 台灣民報) |
| April 16–26: Japan's crown prince Hirohito 裕仁 visits Taiwan, including stays in Keelung, Kaohsiung, Penghu, Taipei/Beitou |
| Dec. 16: Governor-general Uchida orders the arrests of Taiwanese civil rights activists involved in a
campaign for the creation of an elected representative body ("POPA Incident", zhijing shijian 治警事件) |
| 1925 |
October: Sugarcane farmers in the area of today's Changhua riot against
their working conditions, the events are referred to as Erlin Incident (Erlin shijian 二林事件) |
| 1927 |
May 29: Establishment of the "Taiwan People's Party" (Taiwan mindang 台灣民黨) in Taichung, outlawed after five days by the Japanese authorities |
| July 10: The Taiwanese Popular Party (Taiwan minzhongdang 台灣民眾黨) is established in Taichung
by Chiang Wei-shui, Lin Hsien-tang and others |
| 1928 |
March 17: The Taihoku Imperial University (Taibei diguo daxue 台北帝國大學) is founded in Taipei |
| April 15: Establishment of the Taiwanese Communist Party (Taiwan gongchandang 台灣共產黨) in Shanghai,
the party advocates Taiwan independence |
| 1930 |
May: The Wushantou Reservoir (Wushantou shuiku 烏山頭水庫) in Tainan is completed, the largest in Asia
at the time |
| Aug. 17: Lin Hsien-tang, Tsai Pei-hu 蔡培火 and others establish the Taiwanese Alliance for Home Rule
(Taiwan difang zizhi lianmeng 台灣地方自治聯盟) |
| October-December: In the Musha Incident aka Wushe Rebellion (Wushe shijian 霧社事件) indigenous warriors
of the Sediq tribe attack the village of Wushe 霧社 (in today's Nantou county), killing more than
130 Japanese; the Japanese slaughter more than 600 Sediq in retaliation, using modern weaponry including mustard gas |
| 1931 |
February: The Taiwanese Popular Party is outlawed after its fourth party congress (Feb. 18, 1931) |
| April 25: Second Musha Incident (dierci Wushe shijian 第二次霧社事件)—Sediq collaborators kill 216
participants in the first Musha Incident |
| 1934 |
June 30: 49 persons tied to the Taiwanese Communist Party—including Hsieh Hsueh-hung 謝雪紅 (arrested on June 26,
1931), Weng Tze-sheng 翁澤生, Lin Mu-shun 林木順, Chao Kang 趙港 and others—are convicted by a panel of the Taihoku Regional Court (Taibei
difang fayuan 台北地方法院 Taihoku Chihō Hōin) and sentenced to between two and 13 years in prison |
| Sept. 2: The submitting of petitions by Taiwanese in Tokyo is outlawed |
| 1935 |
April 21: An earthquake with a magnitude of 7.1 jolts Hsinchu; 3,276 dead |
| Nov. 22: Local elections are held in Taiwan for the first time, half of the city and township councillors
are elected, the other half are appointed by the prefectural governors |
| 1936 |
March 30: Songshan Airport (songshan jichang 松山機場) in Taipei is completed |
| 1937 |
April: The Japanese ban Chinese-languages articles in Taiwanese newspapers |
| 1938 |
Feb. 23: The Soviet Volunteer Group (Sulian hangkong zhiyuandui 蘇聯航空志願隊) bombs the Songshan
Air Base (Songshan feihang jidi 松山飛行基地) in Taipei |
| 1939 |
Nov. 22: Local elections are held in Taiwan for the second time |
| 1940 |
November: Governor-general Hasegawa establishes the "Tribute to the Emperor Society" (huangmin
fenggonghui 皇民奉公會) to encourage Japanization of the Taiwanese population |
| 1941 |
Dec. 8: The US declare war against Japan, the US consulate in Taipei (opened in 1913) is subsequently closed |
| 1943 |
April 1: Compulsory education is introduced in Taiwan |
| Nov. 25: Aerial attacks of the US on Taiwan begin with the bombardment of a flight strip in Hsinchu |
| 1944 |
September: Conscription in Taiwan is extended to all Taiwanese males |
| Oct. 12–16: Formosa Air Battle (Taiwan kongzhan 台灣空戰), a series of large-scale aerial engagements
between carrier air groups of the US Navy Fast Carrier Task Force and Japanese land-based air forces of the Imperial Japanese Navy and
Imperial Japanese Army |
| 1945 |
Jan. 15: US air raid on Kaohsiung and Zuoying Harbour |
| May 31: Taihoku Air Raid (Taibei da kongxi 台北大空襲) of the US Fifth Air Force, consisting 117
Consolidated B-24 Liberator heavy bombers, approximately 3,800 bombs are dropped mainly on military units and government facilities;
more than 3,000 dead |
| June 16–19: US air raids on Keelung |
| Aug. 15: Japan's Emperor Hirohito accepts the terms of the Potsdam
Declaration, Japan surrenders and agrees to return Taiwan, Penghu to China |
| Sept. 2: Representatives of Japan and the Allied powers sign Japan's First Instrument
of Surrender on the deck of the battleship USS Missouri, marking the end of hostilities in WWII |
| Sept. 9: Japan signs the Act of Surrender to the ROC in Taipei |
| Oct. 15: The first ROC troops arrive in Keelung and Kaohsiung |
| Oct. 24: Chen Yi 陳儀, newly appointed ROC governor of Taiwan, arrives on the island and takes over
administrative powers of outgoing Japanese Governor-general Ando |
| Oct. 25: Official retrocession of Taiwan and Penghu to China with a formal transfer ceremony in Taipei;
the Japanese colonial period comes to an end |
| 1946 |
April 1: The repatriation of Japanese soldiers from Taiwan back home is completed |
TOP HOME
[◆ Taiwan's history]
[Directory Japanese colonial rule]
Several earthquakes were recorded in Taiwan during Japan's colonial rule as shown in the table directly below
(locations are referred to with their current names in today's ROC cities/counties).
| Year |
Date |
Magnitude |
Fatalities |
Location of epicenter |
| 1904 |
Nov. 16 |
~ 6.1 |
145 |
Area between Chiayi and Yunlin; dubbed "Touliu Earthquake" (douliu dizhen 斗六地震) |
| 1906 |
March 17 |
~ 7.1 |
1,258 |
Minhsiung 民雄 / Meishan 梅山 (Chiayi County) |
| 1908 |
Jan. 11 |
~ 7.3 |
1 |
Wanjung 萬榮 (Hualien County) |
| 1909 |
April 15 |
~ 7.3 |
9 |
Near Taipei |
| Nov. 21 |
~ 7.3 |
— |
Near Ta'nan'ao 大南澳 (Yilan County) |
| 1916 |
Aug. 28 |
~ 6.8 |
16 |
Upper reaches of Choshui Creek 濁水溪 |
| 1917 |
Jan. 5 |
~ 6.2 |
54 |
Puli 埔里 (Nantou County) |
| 1920 |
June 5 |
~ 8.3 |
5 |
Off Taiwan's east coast near Hualien ℹ |
| 1922 |
Sept. 2 |
~ 7.6 |
5 |
Off Taiwan's east coast near Su'ao |
| 1927 |
Aug. 25 |
~ 6.5 |
11 |
Hsinying 新營 (Tainan County) |
| 1930 |
Dec. 8 |
~ 6.1 |
4 |
Hsinying |
| 1935 |
April 21 |
~ 7.1 |
3,276 |
Sanyi 三義 (Miaoli County) ℹ |
| July 17 |
~ 6.0 |
44 |
... off Wuchi 梧棲 (Taichung County) ℹ |
| 1941 |
Dec. 17 |
7.1 |
358 |
Chungpu 中埔 (Chiayi County) ℹ |
| 1943 |
Oct. 23 |
6.0 |
1 |
Hualien ℹ |
| Dec. 2 |
5.9 |
3 |
... near Green Island (off Taitung County) ℹ |
Please note that before the beginning of the Japanese colonial period, there was no monitoring of seismic activity based on
modern scientific methods on the island. More precise details concerning earthquakes in the Taiwan area have been recorded since
1935, and the website of the ROC Central Weather Administration contains exact data
or maps of events from that year on.
The 1920 temblor was presumably the strongest earthquake ever to hit the Taiwan area, but equipment necessary for accurately
assessing the power and depth of the jolts was not yet available at the time. The magnitude of the 1920 quake has been estimated
to be between 7.7 and 8.3. A brief chronology outlining the history of earthquake observation in Taiwan can be found here.
More information about early earthquake observation in Taiwan can be found in the following two research papers:
- Sin Mei Ng, Jacques Angelier, Chung-Pai Chang—"Earthquake cycle in Western Taiwan: Insights from historical seismicity". Published
on Aug. 1, 2009 in: Geophysical Journal International, Volume 178, Issue 2, August 2009, Pages 753–774
- Thomas Theunissen, Yvonne Font, Serge Lallemand, Wen-Tzong Liang—"The largest instrumentally recorded earthquake in Taiwan:
Revised location and magnitude, and tectonic significance of the 1920 event". Published on Dec. 1, 2010, in: Geophysical Journal International,
Volume 183, Issue 3, December 2010, Pages 1119–1133
For information about Taiwan's geology, fault lines, major earthquakes since the end of WWII
and more click here.
TOP HOME
[◆ Taiwan's history]
[Directory Japanese colonial rule]
During WWII Japan occupied large parts of Asia under its imperialist concept called "Greater East Asia Co-Prosperity Sphere"
(da dongya gongrongquan 大東亞共榮圈), and some of the empire's prisoners of war (POW) were held in Taiwan. On May 1, 1999
the Taiwan POW Camps Memorial Society (Taiwan zhanfuying jinian xiehui 台灣戰俘營紀念協會, abbrev. TPCMS) was set up based
on the work of Canadian expat Michael Hurst. The TPCMS website lists more than a dozen POW
camps (zhanfuying 戰俘營).
| No. |
Name of POW camp |
In operation |
Location |
| #1 |
Kinkaseki (Jinguashi zhanfuying 金瓜石戰俘營) |
11/1942—6/1945 |
Ruifang District, New Taipei City |
| #1A |
Kukutsu (Xindian zhanfuying 新店戰俘營) |
5/1945—8/1945 |
Xindian District, New Taipei City |
| #1B |
Churon (Taibei linshi zhanfuying 台北臨時戰俘營) |
8/1945—9/1945 |
Songshan District, Taipei City |
| #2 |
Taichu (Taizhong zhanfuying 台中戰俘營) |
9/1942—7/1944 |
Wufeng District, Taichung City |
| #2A |
Inrin (Yuanlin zhanfuying 員林戰俘營) |
7/1944—3/1945 |
Yuanlin City, Changhua County |
| #3 |
Heito (Linluo zhanfuying 麟洛戰俘營) |
8/1942—3/1945 |
Linluo Township, Pingtung County |
| #3A |
Inrin Temporary (Yuanlin linshi zhanfuying 員林臨時戰俘營) |
11/1944—1/1945 |
Yuanlin City, Changhua County |
| #3B |
Toroku (Douliu zhanfuying 斗六戰俘營) |
11/1944—4/1945 |
Douliu City, Yunlin County |
| #4 |
Karenko (Hualiangang zhanfuying 花蓮港戰俘營) |
8/1942—6/1943 |
Hualien City, Hualien County |
| #4A |
Shirakawa (Baihe zhanfuying 白河戰俘營) |
6/1943—8/1945 |
Baihe District, Tainan City |
| #4B |
Maruyama (Wanshan 丸山) |
8/1945—9/1945 |
Zhongshan District, Taipei City |
| #5 |
Tamazato (Yuli zhanfuying 玉里戰俘營) |
4/1943—6/1943 |
Yuli Town, Hualien County |
| #5A |
Taihoku Moksak (Taibei Muzha 台北木柵) |
6/1943—12/1944 |
Wenshan District, Taipei City |
| #6 |
Taihoku (Taibei 台北) |
11/1942—9/1945 |
Zhongshan District, Taipei City |
| #6A |
Oka (Taibei zhanfuying 台北戰俘營/Gang 岡) |
6/1945—8/1945 |
Shilin District, Taipei City |
| — |
Takao (Gaoxiong 高雄) |
9/1942—2/1945 |
Qijin District, Kaohsiung City |
| — |
Taihoku Prison (Taibei jianyu 台北監獄) |
N/A |
Daan District, Taipei City |
Churon and Maruyama are listed as evacuation camps. In addition, a Taiwan Hellships Memorial (erci dazhan zhanfuchuan
jinianpai 二次大戰戰俘船紀念牌) was dedicated on Jan. 26, 2006 in Qijin District (Kaohsiung City).
Background information pertaining to that subject as well as additional contents about Japan's relations with Taiwan
after WWII and China/the ROC since the 19th century can be found on the following pages of this website.
TOP HOME
[◆ Taiwan's history]
[Directory Japanese colonial rule]
● Crucial date: February 28, 1947
● White Terror chronology (1947-1987)
● A topic no longer taboo
● Still unreconciled
● KMT reformed?
The victory of the Allies over Japan in WWII paved the way for the ROC
to take over Taiwan, an explicit war goal since the 1943 Cairo Declaration.
The ROC leadership under Chiang Kai-shek was wary of Taiwan since the island had been ruled by their enemies for
half a century, so Taiwan was regarded to some degree as hostile territory. Chiang Kai-shek commissioned Chen Yi—a
man who had gained some notoriety for his harsh rule as provincial governor of Fujian between 1934 and 1941—to head
the ROC's new Taiwan provincial government because Chen could be expected to
reliably set up the KMT-led administration, enforce its rule and crack down hard
against any possible resistance on Taiwan.
When troops and administration personnel of the ROC arrived in Taiwan in October 1945, they received an
enthusiastic welcome by locals who were happy to see Japan's colonial rule
coming to an end. The joy did not last long because locals were largely excluded from administrative posts, and
the new rulers who were fighting a civil war against the Chinese Communists on the mainland drained resources
from the island, with negative consequences for the living conditions in Taiwan. The province also experienced
unprecedented inflation. The resulting discontent and growing tensions eventually led to a violent uprising
in February 1947 ("2-28") by locals against the ROC administration.
The 2-28 Incident was triggered by a clash between government officials and local bystanders after agents
working for the government's Taiwan Provincial Monopoly Bureau (Taiwansheng
zhuanmaiju 台灣省專賣局) on Feb. 27, 1947 confiscated contraband cigarettes from a 40-year-old widow named
Lin Jiang-mai 林江邁 at the Tianma Tea House (tianma chafang 天馬茶房), located in today's Datong District
of Taipei City. During the ensuing dispute and scuffle the officials fired shots
and killed one person. The following day a large crowd gathered in front of the building previously used by the Japanese
Governor-general in Taipei and demanded the monopoly agents to be brought to justice. Security personnel opened fire,
resulting in several deaths. Protesters then seized a radio station, and news of the revolt was broadcast to the entire island,
causing the uprising to spread.
As open rebellion broke out at many locations on the island, Taiwan provincial governor Chen Yi
negotiated with insurgents, buying time while secretly urging the KMT-led central government in Nanjing to send military
backup. After the reinforcement troops from the mainland arrived in Taiwan, the insurrection was suppressed with brutal
force. According to an investigation conducted by a commission of the ROC government
in 1992, an estimated 18,000 to 28,000 people were killed during the crackdown, which lasted into early May 1947. Martial
law, imposed on May 25, 1947, remained in place for four decades.
The bloody campaign unleashed to exterminate the rebellion especially targeted the elite of Taiwanese
intellectuals educated in Japan and wiped out a sizable portion of that group. It left the opposition traumatized
and decimated, and in the White Terror period no serious attempts were made by organized opponents to overthrow
the government. By and large, rare oppositional activity was non-violent, except for an assassination attempt
against Chiang Ching-kuo in 1970 and another one against Shieh Tung-min in 1976. The following
chronology lists a selection of major events in the aftermath of 2-28 until
the end of martial law in July 1987.
TOP HOME
[◆ Taiwan's history]
[Directory 228 / White Terror]
| 1947 |
Feb. 28: Chen Yi, Chief Executive of Taiwan Province, enacts martial law (lifted on March 2, 1947) |
| March 4: Chung Yi-jen 鍾逸人 and a group of activists form the "Democracy Defense Force" (minzhu
baoweidui 民主保衛隊) at a school in Taichung, later renamed to "27 Brigade" (erqi
budui 二七部隊) |
| March 9: Martial law is enacted again by Chen Yi (lifted on May 16, 1947 by Taiwan Provincial
Governor Wei Tao-ming 魏道明) |
| March 16: Battle of Wuniulan (Wuniulan zhanyi 烏牛欄戰役) near Puli (Nantou
County), the 27 Brigade disbands after being surrounded and running out of ammunition |
| March 24: The Taichung-based Taiwan branch of the military-published newspaper Peace Daily (heping ribao
和平日報)—many of its reporters and editors being left-leaning individuals—is temporarily sealed |
| April 23: Chung Yi-jen is arrested and subsequently imprisoned for 17 years (released on Feb. 6, 1964) |
| July 27: Publication of Peace Daily resumes |
| 1948 |
Feb. 28: The Formosan League for Re-Emancipation (Taiwan zai jiefang lianmeng 台灣再解放聯盟) is
established in Hong Kong |
| 1949 |
April 6: ROC authorities storm a dormitory of Taiwan Provincial Normal Institute (Taiwan shengli shifan
xueyuan 台灣省立師範學院) in Taipei, execute 7 students on the spot and arrest about 200; 40 of those are put on trial in May 1949
and 18 of them later executed |
| May 19: Taiwan Provincial Governor Chen Cheng 陳誠 announces martial law,
comes into force on the territory of Taiwan Province the following day (repealed on July 15, 1987) |
| June 21: The Act for the Control and Punishment of Rebellion (chengzhi panluan tiaoli 懲治叛亂條例)
is promulgated (rescinded on May 22, 1991) |
| Nov. 20: The first issue of the semimonthly FREE CHINA magazine (ziyou Zhongguo 自由中國) is published,
with Lei Chen 雷震 as editor-in-chief |
| Dec. 10: Martial law is imposed in the counties of Kinmen and Lienchiang (Fujian Province, ROC), remains in force until Nov. 7, 1992 |
| 1950 |
June 13: The Espionage Law of the Period of the Communist Rebellion (kanluan shiqi jiansu feidie tiaoli
戡亂時期檢肅匪諜條例) is promulgated by ROC President Chiang Kai-shek (abolished on May 16, 1991 by ROC President Lee Teng-hui) |
| Oct. 14: Chung Hao-tung 鍾浩東 (aka Chung Ho-ming 鍾和鳴, half-brother of Hakka novelist Chung Li-ho 鍾理和) is executed in Taipei for his involvement in the operation of a Communist cell and the publication of
the underground newspaper Kuangming News (guangmingbao 光明報) |
| 1951 |
May 17: The first group of more than 1000 political prisoners arrives at "New Life Discipline Camp"
(xinsheng xundaochu 新生訓導處) on Green Island (Taitung County) |
| 1952 |
Aug. 29: Jih Chin-chun 日進春, a member of Taiwan's indigenous Saisiyat community, is executed in Taipei for
alleged Communist contacts, the first Taiwan Aborigine to be put to death during the White Terror period |
| Nov. 14: Execution of the mainland-born artist Huang Jung-tsan 黃榮燦 in Taipei |
| Dec. 28: ROC armed forces and police storm an armed communist party holdout created by Chen Tung-ho 陳通和 and
his brother Chen Pen-chiang 陳本江 in Luku 鹿窟 (today's Shiding District, New Taipei City), about 200 people are arrested, 35 are subsequently
sentenced to death, the events are also referred to as "Luku Incident" (Luku shijian 鹿窟事件) |
| 1954 |
December: Chiang Kai-shek orders Lei Chen's expulsion from the KMT |
| 1959 |
July 18: The manager of the Wuhan Hotel (Wuhan dalüshe 武漢大旅社) in Taipei Yao Chia-chen 姚嘉薦 is
found dead inside the hotel, Yao's death is initially ruled a suicide |
| Dec. 8: The MJIB arrests seven persons, including Huang Hsueh-wen 黃學文, Lin Tsu-tsen 林祖簮, Yu Chuan-chiu
游全球, Wang Yi-yun 王靄雲, Chen Hua-chou 陳華洲 (reportedly a close ally of Lei Chen), Yang Hsun-chun 楊薰春 and Wu Liang 吳亮, and charges
them with Yao Chia-chen's murder |
| 1960 |
Feb. 1: The FREE CHINA magazine publishes an article 'sincerely advising' Chiang Kai-shek not to run for a third
term as ROC President |
| March 24: The Taipei District Court sentences Huang, Lin, Yu, and Wang to death, Chen to life imprisonment, Yang
and Wu to 16 years (the death sentences are not carried out) in connection with the Wuhan Hotel case |
| Sept. 1: The final issue of the FREE CHINA magazine is published |
| Sept. 4: Lei Chen, Li Ao 李敖, Fu Cheng 傅正, and other leaders of Taiwan's opposition who tried to establish a
new party called the "China Democratic Party" (Zhongguo minzhudang 中國民主黨) are arrested |
| Oct. 8: Four leaders of Taiwan's opposition are sentenced to prison terms by the High Military Tribunal
(gaodeng junshi shenpanting 高等軍事審判庭) of the Taiwan Garrison Command—Lei Chen to 10 years,
Fu Cheng and Ma Chih-su 馬之驌 to 3 years each, Liu Tzu-ying 劉子英 to 12 years |
| 1963 |
May 28: Pro-Taiwan independence activist Chen Chih-hsiung 陳智雄 is executed in Taipei, the first person in Taiwan
to die for such activism |
| Sept. 27: Independent Kaohsiung County Magistrate Yu Deng-fa 余登發 is removed from office after being impeached
by the Control Yuan on alleged embezzlement (jailed 1973–1974) |
| 1964 |
April 1: Shih Ming-teh 施明德 (who had been arrested in June 1962 for Taiwan independence activities) is sentenced
to life imprisonment (released on June 16, 1977) |
| Sept. 20: Scholar and dissident Peng Ming-min 彭明敏 is arrested after printing a "Declaration of Self-Salvation
of the Taiwanese People" (Taiwan renmin zijiu xuanyan 台灣人民自救宣言) written by Peng and his students Roger T. M. Hsieh 謝聰敏 and
Wei Ting-chao 魏廷朝 |
| 1965 |
April 2: Peng Ming-min and Wei Ting-chao are sentenced to 8 years imprisonment, Roger T. M. Hsieh to 10 years (Wei
and Hsieh are released in 1970) |
| Nov. 3: Due to international pressure, Peng Ming-min is released from prison but put under surveillance |
| 1966 |
Nov. 12: Japan-based advocates of Taiwan independence led by Lin Shui-chuan 林水泉 establish the Society to Promote
the Unity of Taiwanese Youth (quanguo qingnian tuanjie cujinhui 全國青年團結促進會), echoed in Taiwan by the founding of the Domestic
Action Group of the Taiwan Independence Comrades Union (Taiwan duli tongzhi lianhehui guonei xingdongtuan 台灣獨立同志聯合會國內行動團)
in May 1967 |
| 1967 |
June 30: The Taiwan Independence Association (duli Taiwan hui 獨立台灣會, abbrev. TIA) is set up in Tokyo
by Taiwan independence activist Su Beng 史明 |
| 1968 |
March 7: China-born dissident writer Kuo Ting-sheng 郭定生 (pen name Boyang 柏楊) is arrested for a translation of
the American comic strip "Popeye" which was interpreted as criticizing Chiang Kai-shek's refusal to conduct free presidential elections |
| June 6: Writer Chiu Yen-liang 丘延亮 is arrested in connection with the case of the Democratic Taiwan League
(minzhu Taiwan lianmeng 民主台灣聯盟); released from jail in 1971 |
| July 1: Writer Chen Ying-chen 陳映真 is arrested in connection with the case of the Democratic Taiwan League;
later sentenced to 10 years imprisonment and sent to Green Island; released in 1975 |
| 1969 |
Aug. 11: A military tribunal under the Taiwan Garrison Command sentences Kuo Ting-sheng to 12 years imprisonment
(released in 1977) |
| Nov. 28: Lin Shui-chuan, Huang Hua 黃華 and several other activists are sentenced to lengthy prison terms up
to 15 years for sedition |
| 1970 |
Jan. 2: Peng Ming-min travels to Hong Kong with a forged passport and goes into exile in Sweden where he is
granted political asylum (moves to the US in August 1970) |
| Feb. 8: A group of six political prisoners in Taiyuan Prison 泰源監獄 (Tungho Township 東河鄉, Taitung County) escapes after a failed uprising (recaptured by ROC authorities within weeks) |
| March 30: The Military Court of Taiwan Garrison Command (jingzong junshi fating 警總軍事法庭) sentences
five participants in the Taiyuan Prison uprising—Chan Tien-tseng 詹天增, Chen Liang 陳良, Cheng Chin-ho 鄭金河, Chiang Ping-hsing 江炳興,
and Hsieh Tung-jung 謝東榮—to death, Cheng Cheng-cheng 鄭正成 receives an additional 15 years jail term |
| April 24: Peter Huang 黃文雄 and Cheng Tzu-tsai 鄭自才 unsuccessfully try to assassinate ROC Vice Premier
Chiang Ching-kuo in New York |
| May 30: The five death sentences in connection with the Taiyuan Prison uprising are carried out |
| Sept. 4: Lei Chen is released from prison |
| 1971 |
Dec. 29: The Presbyterian Church in Taiwan (Taiwan jidu changlao jiaohui 台灣基督長老教會, abbrev. PCT)
issues the "Statement on our National Fate" (Taiwan jidu changlao jiaohui duiguo shide shengming ji jianyi
台灣基督長老教會對國是的聲明及建議) |
| 1972 |
Jan. 10: Lei Chen proposes to change the ROC's name to "Democratic State of China–Taiwan" (Zhonghua Taiwan
minzhuguo 中華台灣民主國), the Presidential Office and the Executive Yuan ignore the proposals |
| April 24: The NEW YORK TIMES publishes the letter "From a Taiwan Prison" written by Roger T. M. Hsieh,
the US House of Representatives sub-sequently sends a team to investigate human rights in Taiwan |
| 1974 |
Aug. 11: Execution of Cheng Ping 鄭評 for his involvement in the Taiwan Independence Revolutionary Army
(Taiwan duli gemingjun 台灣獨立革命軍) |
| 1975 |
Aug. 1: Huang Hsin-chieh 黃信介, Kang Ning-hsiang 康寧祥, and Chang Chun-hung 張俊宏 —activists in the oppositional
dangwai [黨外] movement—publish the monthly magazine TAIWAN POLITICAL REVIEW (Taiwan zhenglun 台灣政論) which is
banned after just 5 editions |
| Nov. 18: The PCT issues the statement "Our Appeal" (women de huyu 我們的呼籲) |
| 1976 |
Oct. 10: Taiwan's provincial governor Shieh Tung-min sustains severe injuries to his hands
and face after opening a letter bomb sent to him by Wang Sing-nan 王幸男 |
| 1977 |
Jan. 4: Wang Sing-nan is arrested |
| Jan. 28: The Military Court of Taiwan Garrison Command (Taiwan jingbei zongbu junshi fating
台灣警備總部軍事法庭) sentences Wang Sing-nan to life imprisonment and sends him to Green Island (paroled on May 5, 1990
by ROC President Lee Teng-hui) |
| Aug. 16: The PCT issues the" Declaration on Human Rights" (renquan xuanyan 人權宣言) |
| Nov. 19: In Chungli 中壢 (Taoyuan County) voting irregularities during
the city mayor/county magistrate elections give rise to allegations of electoral fraud, in the ensuing riots the local police
station is burnt down |
| 1979 |
Jan. 21: Yu Deng-fa and his son Yu Jui-yan 余瑞言 are arrested after protesting the postponement of the elections
for the ROC National Assembly and the ROC Legislative Yuan
(scheduled for Dec. 23, 1978 but postponed after the US government on Dec. 16, 1978 announced
its decision to switch diplomatic recognition from Taipei to Beijing on Jan. 1, 1979) |
| Jan. 22: Independent Taoyuan County Magistrate Hsu Hsin-liang 許信良, Huang Hsin-chieh, Shih Ming-teh, Chen Chu
陳菊 and others co-organize a demonstration in Chiaotou township 橋頭鄉 (then-Kaohsiung county)—Yu
Deng-fa's hometown—to protest against Yu's arrest; Hsu is subsequently impeached and suspended from office |
| April 16: Yu Deng-fa is sentenced to 8 years imprisonment for 'not reporting a Communist spy' (released on
medical parole in 1980; died under suspicious circumstances on Sept. 13, 1989) |
| Aug. 16: The first edition of the monthly magazine FORMOSA (Meilidao 美麗島)—founded by Huang Hsin-chieh
as a dangwai mouthpiece—is published (terminated after the fourth edition that came out on Nov. 25) |
| Oct. 3: Chen Ying-chen is arrested on rebellion charges, released after 36 hours following protests by
Shih Ming-teh, writer Kenneth Pai 白先勇 and others |
| Dec. 10: Opposition activists and Formosa magazine staff (notably Shih Ming-teh) organize a rally in Kaohsiung to commemorate the international Human Rights Day, massive police presence and
intimidation tactics result in violence; the events are later referred to as the "Kaohsiung Incident" (Gaoxiong shijian 高雄事件 or
Meilidao shijian 美麗島事件) |
| Dec. 13: TPA delegate Lin I-hsiung 林義雄, dissidents Annette Lu 呂秀蓮 and Chen Chu are arrested in Kaohsiung
for their involvement in the Kaohsiung Incident |
| 1980 |
Feb. 28: Lin I-hsiung's mother You Ah-mei 游阿妹 as well as his 7-year old twin daughters Lin Ting-chun 林亭均
and Lin Liang-chun 林亮均 are murdered by unknown perpetrators in Lin's Taipei residence which
had been under 24-hour police surveillance at the time, 8-year old daughter Lin Huan-chun 林奐均 survives with seven stab wounds |
| April 18: The First Court of the Taiwan Garrison Command's Judge Advocate Department (jingzong junfachu diyi
fating 警總軍法處第一法庭) announces the verdicts against eight dissidents and dangwai activists who were arrested after
the Kaohsiung Incident—Shih Ming-teh is handed a life term, Huang Hsin-chieh is sentenced to 14 years, six others (Chang Chun-hung,
Chen Chu, Lin Hung-hsuan 林弘宣, Lin I-hsiung, Annette Lu, and Yao Chia-wen 姚嘉文) are each sentenced to 12 years in prison |
| 1981 |
July 2: Scholar Chen Wen-chen 陳文成 is taken away by staff of the Taiwan Garrison
Command for questioning about his pro-democracy activities in the US and his involvement in
financial assistance to the Formosa magazine, the following day Chen is found dead on the NTU
campus |
| July 20: The Taipei District Prosecutors Office (Taibei dijianchu 台北地檢處) describes Chen Wen-chen's
death a result of 'suicide or an accident' |
| 1984 |
Oct. 15: Assassination of journalist and writer Henry Liu 劉宜良 (pen name Chiang Nan 江南) in Daly City (Ca., USA)
on orders of MIB boss Admiral Wong Hsi-ling |
| 1985 |
April 9: The Taipei District Court sentences gangsters Chen Chi-li 陳啟禮 and Wu Tun 吳敦 to life in prison for the
murder of Henry Liu |
| April 19: The MND Military Court (guofangbu junshi fating 國防部軍事法庭)
sentences Wong Hsi-ling to life in prison (released on Jan. 21, 1991) |
| 1987 |
Feb. 4: Deng Nan-jung 鄭南榕, Chen Yong-hsin 陳永興, and Lee Shen-hsiung 李勝雄 initiate the Association for 228
Peace Memorial Day (ererba heping jinianri cujinhui 二二八和平紀念日促進會) |
| Feb. 28: The 228 Redress Movement (ererba pingfan yundong 二二八平反運動) is staged for the first time
in Taipei |
| July 1: The National Security Law During the Period of National Mobilization
for Suppression of the Communist Rebellion (dongyuan kanluan shiqi guojia anquanfa 動員戡亂時期國家安全法) which includes
tight restrictions on freedom of assembly, speech and the press, is promulgated by ROC President Chiang Ching-kuo |
| July 15: Martial law is lifted on Taiwan and on Penghu |
| 1992 |
Nov. 7: Martial law is lifted on Kinmen and Matsu |
Notes
The Chinese term "dangwai" (黨外) means "outside the party" (i. e. the then-ruling KMT)
and refers to an oppositional movement in the 1970s, a loose alliance and melting pot for political activists whose goals were
quite diverse—the most important objectives were democratization (minzhuhua 民主化) and Taiwan independence (Taiwan
duli 台灣獨立, abbrev. Taidu 台獨) as well as full civil and human rights. The founders of the
DPP were mostly members of the dangwai movement.
The release dates of the "Kaohsiung Eight" who were incarcerated in connection with the
Kaohsiung Incident were as follows (in chronological order):
• Lin I-hsiung 林義雄—1984, Aug. 15;
• Annette Lu 呂秀蓮—March 1985;
• Lin Hung-hsuan 林弘宣—December 1985;
• Chen Chu 陳菊—1986, Feb. 4;
• Yao Chia-wen 姚嘉文—1987, Jan. 20;
• Huang Hsin-chieh 黃信介 and Chang Chun-hung 張俊宏—1987, May 30;
• Shih Ming-teh 施明德—1990, May 20.
All guilty sentences for Formosa Incident defendants were removed by the
Transitional Justice Commission (TJC) by May 23, 2022.
Please note that the events in connection with the death of Deng Nan-jung 鄭南榕 (also known under
the name Nylon Cheng) are not included in above chronology as they
took place in April 1989, i. e. in the transition period between the lifting of martial law in 1987 and
the first direct ROC presidential election in 1996.
Between the 1950s and 1980s the Taiwan Provincial Government and Taiwan Garrison Command published and updated a Catalogue of Banned Books
(chajin tushu mulu 查禁圖書目錄).
For additional information about the events around and after Taiwan was put under ROC rule the chief researcher recommends the classic "Formosa Betrayed" by
George H. Kerr, published in 1965. Another noteworthy account about the events is the book "Taiwan 1947:
The Uprising against the Kuomintang", written by German-British sinologist, translator and linguist Günter Whittome
and published in 1991 by the Institut für Asienkunde (Institute for Asian Studies, abbrev. IfA) in Hamburg, available
in English and German. (The IfA was renamed German
Institute for Global and Area Studies—abbrev. GIGA—in 2006.)
TOP HOME
[◆ Taiwan's history]
[Directory 228 / White Terror]
Since the lifting of martial law, many facts about 2-28 and the White Terror have been revealed in countless publications, and
the ROC government has changed its official attitude towards those events. The developments since July 1987 can be distinguished
as belonging to two categories—establishment of monuments, memorial sites and protection/maintenance of historical sites as well
as laws and administrative measures.
Monuments and historical sites
The first 228 Peace Memorial Monument (Jiayishi mituolu ererba jinianbei 嘉義市彌陀路二二八紀念碑) was completed
on Aug. 29, 1989 in Chiayi City. On Feb. 28, 1996, the 228
Memorial Monument (ererba heping jinianbei 二二八和平紀念碑) in the Taipei New Park (xingongyuan 新公園)
was unveiled and the park renamed 228 Peace Memorial Park (ererba heping jinian gongyuan 二二八和平紀念公園), and
on Feb. 28, 1997, the Taipei 228 Memorial Museum (Taibei ererba jinianguan 台北二二八紀念館) was opened.
Two prisons which held political prisoners in the White Terror period have been transformed into human rights memorial sites—the
New Life Correction Center (xinsheng xundaochu 新生訓導處) and the Green Island Reform and Reeducation Prison (Lüdao
ganxun jianyu 綠島感訓監獄) became the Green Island Human Rights Culture Park (Lüdao renquan wenhua yuanqu
綠島人權文化園區) on Dec. 10, 2002; and the former Chingmei Military Detention Center (Jingmei junshi kanshousuo 景美軍事看守所)
became the Jing-mei Human Rights Memorial and Cultural Park (Jingmei renquan wenhua yuanqu 景美人權文化園區) on Dec. 10, 2007.
Another military prison in the martial law era that should be mentioned was the Production and Education Experiment Institute (Taiwan
shengchan jiaoyu shiyansuo 臺灣生產教育實驗所) in Tucheng (today's New Taipei City), a camp
where political prisoners underwent re-education. It was established in 1954 and renamed Taiwan Renai Education Experiment Institute (Taiwan
ren'ai jiaoyu shiyansuo 台灣仁愛教育實驗所) in 1972.
The National Human Rights Museum (guojia renquan bowuguan 國家人權博物館, abbrev. NHRM) was inaugurated with a ceremony
at the Green Island White Terror Memorial Park (baise kongbu Lüdao jinian yuanqu 白色恐怖綠島紀念園區) on May 17, 2018 by
ROC President Tsai Ing-wen and another one the following day at Jing-Mei White Terror Memorial
Park (baise kongbu Jingmei jinian yuanqu 白色恐怖景美紀念園區) by ROC Premier William Lai Ching-te.
Laws and administrative measures
While the "Temporary Provisions Effective During the Period of Communist Rebellion"
(dongyuan kanluan shiqi linshi tiaokuan 動員戡亂時期臨時條款)—short "Temporary Provisions", in force between May 10, 1948
and May 1, 1991—were the legal foundation for authoritarian rule in the Martial Law Period, other laws were important tools of suppression
as well. The "Punishment of Rebellion Act" (chengzhi panluan tiaoli 懲治叛亂條例) was promulgated on June 21, 1949 and abolished
on May 22, 1991; the "Suppression of the Communist Rebellion Act" (kanluan shiqi jiansu feidie tiaoli 戡亂時期檢肅匪諜條例) was
promulgated on June 13, 1950 and abolished on June 3, 1991. Furthermore, Article 100 of the ROC Criminal Code (Zhonghua
minguo xingfa 中華民國刑法) which criminalized peaceful advocacy of Taiwan independence, was amended on May 15, 1992.
(Please note that two laws mentioned above are also known under alternative names in English— ◉ "Punishment
of Rebellion Act" = Statutes for the Punishment of Insurrection / Statutes for the Punishment of Rebellion / Rebellion Punishment Provision
/ Act for the Control and Punishment of Rebellion / Act Governing the Punishment of Rebellion / Betrayers Punishment Act / Suppressing
Rebellion Act / Anti-Insurgency Law; ◉ "Suppression of the Communist Rebellion Act" = Statutes for the Purging of
Communist Agents / Temporary Anti-Espionage Provisions Effective During the Period of Communist Rebellion / Act Governing
Espionage in the Period of National Mobilization for Suppression of the Communist Rebellion / Espionage Laws of the Period of
the Communist Rebellion.)
On Nov. 29, 1990 the ROC Executive Yuan established the "Ad Hoc Research Group
into the 228 Incident" (xingzhengyuan yanjiu ererba shijian zhuan'an xiaozu 行政院研究二二八事件專案小組) which on Feb. 22,
1992 published the "February 28 Incident Research Report" (ererba shijian yanjiu baogao
二二八事件研究報告). On Feb. 28, 1995 Lee Teng-hui, doubling as ROC president and KMT chairman, expressed a formal apology to the families of the victims of the 2-28 Incident,
and on April 7, 1995 the ROC Legislative Yuan promulgated the February 28 Incident Disposition
and Compensation Act (ererba shijian chuli ji peichang tiaoli 二二八事件處理及賠償條例). On Feb. 27, 1997, the MOI designated the Peace Memorial Day (heping jinianri 和平紀念日)—observed
annually on Feb. 28—a national holiday from 1998 on.
The Organizational Act of
the National Human Rights Museum (guojia renquan bowuguan zuzhifa 國家人權博物館組織法) was approved by the Executive Yuan on July 20, 2017 and passed by the Legislative
Yuan on Nov. 28 that year, stipulating that both former detainment centers for political prisoners will be combined into "White Terror
Memorial Parks" (baise kongbu jinian yuanqu 白色恐怖紀念園區).
On Dec. 5, 2017 the Legislative Yuan passed the Act on Promoting Transitional Justice (cujin zhuanxing zhengyi tiaoli 促進轉型正義條例) which aims at
addressing injustices perpetrated by then-KMT led ROC government between Aug. 15, 1945, when the Japanese government announced
it had surrendered, and Nov. 6, 1992, the last day of martial law on the outlying islands of Kinmen
and Matsu. The bill also provided for the establishment of a Transitional Justice Commission (cujin zhuanxing zhengyi weiyuanhui 促進轉型正義委員會,
abbrev. cuzhuanhui 促轉會 in Chinese and TJC in English), with its nine members nominated by the premier and confirmed by
the Legislature. That commission was formally set up on May 31, 2018 and dissolved on May 30, 2022.
On April 18, 2024 the ROC Executive Yuan confirmed the establishment of May 19 as White Terror Memorial Day (baise kongbu
jiyiri 白色恐怖記憶日), to be observed annually but not as a day off.
MOC's National Human Rights Museum
(guojia renquan bowuguan 國家人權博物館) and Academia Sinica's Institute of Taiwan
History (zhongyang yanjiuyuan Taiwanshi yanjiusuo 中央研究院臺灣史研究所) worked together to create the Taiwan Human Rights Memory Bank (guojia renquan jiyiku 國家人權記憶庫)
which was completed in February 2024 and went online that year.
TOP HOME
[◆ Taiwan's history]
[Directory 228 / White Terror]
Despite the improved official stance, the alienation between local Taiwanese and mainlanders who arrived in
Taiwan after 1945 still heavily influences politics in Taiwan today, and true reconciliation has yet to be achieved
as great bitterness prevails, notably among the descendants of victims who lost their freedom or their lives between
1947 and 1987. Comments of older-generation mainlanders like former ROC Premier
Hao Pei-tsun downplaying the extent of the White Terror are contributing to the problem, highlighting the fact that
more disclosures concerning the events in question, sincere reflection and open-minded discussions are necessary to
advance the process of transitional justice and help healing the wounds which are still aching Taiwan's society.
Although leading KMT politicians have repeatedly offered apologies for 2-28
atrocities and the White Terror, those are often perceived by Taiwanese as not genuine and therefore rejected,
especially since the same KMT politicians keep honouring Chiang Kai-shek and Chiang Ching-kuo.
TOP HOME
[◆ Taiwan's history]
[Directory 228 / White Terror]
The period of democratization was certainly a result of constant pressure by dissidents and the dangwai
movement, but it was set in motion by Chiang Ching-kuo and massively expedited by Lee
Teng-hui with the support of the KMT. Yet many members of the green camp
(DPP et. al., Taiwanese and 'pro-Taiwan') are not convinced that the KMT has
really embraced democracy, and they believe that the blue camp (KMT et. al., mainlanders and pro-China) still
prefers a one-party state. In this context the Chinese term dangguo weiquan 黨國威權 (= authoritarian party
state) is often used.
Note: Some Western observers regard the term "2-28 Incident" as not appropriate and use the English
term "2-28 Massacre" instead.
TOP HOME
[◆ Taiwan's history]
[Directory 228 / White Terror]
The
conflict between the KMT-led ROC and the Chinese Communists before and after the
establishment of the PRC was primarily a military confrontation for decades. When the PRC
was founded in October 1949, the regime in Beijing was resolved to 'liberate' the remaining territories under ROC control by force.
The PRC captured the Dachen Islands off Zhejiang province in February 1955, and the
shelling of Kinmen since August 1958 continued even after the deaths of the respective
dictators Chiang Kai-shek in April 1975 and and Mao Zedong in September 1976.
The PRC puts pressure on Taiwan/the ROC in different ways:
- Beijing refuses to rule out the use of force to achieve unification (wutong 武統) and has even passed an "Anti-Secession Law" (fan fenlie guojiafa 反分裂國家法), which in case of
'[secessionist forces] act ... to cause the fact of Taiwan's secession from China' stipulates that the PRC 'shall employ non-peaceful
means and other necessary measures to protect China's sovereignty and territorial integrity'—in other words: invading and annexing
Taiwan.
- Under its "wolf warrior diplomacy" (zhanlang waijiao 戰狼外交) approach, the PRC uses its global power and influence
to limit Taiwan's international space and isolate the ROC, e. g. by pressing countries to submit to the "One China" scheme and making them pledge not
to officially recognize the ROC/Taiwan diplomatically.
PRC
objection keeps Taiwan from being admitted to the United Nations (UN) and
any of its affiliated agencies, thus preventing the World Health Organization (WHO) from inviting Taiwan to the annual sessions of the
World Health Assembly (WHA); Taiwan is also barred from joining the UN's International Civil Aviation Organization (ICAO) or participating
in the UN Framework Convention on Climate Change (UNFCCC). Other global organizations like the International Criminal Police
Organization (Interpol) that have statehood as requirement have been excluding Taiwan as well.
- The PRC keeps forcing international corporations to change the name they use in referring to Taiwan, e. g. to "Taiwan, China"
or "Taiwan, province of China".
- Due to PRC pressure, Taiwan has for decades been forced to use the degrading moniker "Chinese Taipei" when participating
in the Olympics and other activities on the world stage, and likewise the use of the official
state name "Republic of China" and its national flag is banned at most international venues.
- There are indications that the PRC is trying to influence public opinion in Taiwan by paying Taiwanese media groups for positive
coverage as well as by spreading misinformation and fake news via channels like Facebook and the Line messaging app, thus abusing
freedom of expression in Taiwan.
TOP HOME
[◆ Taiwan's history]
[Directory cross-Strait relations]
The following timeline shows noteworthy events which occurred after the PRC initiated reforms
in the late 1970s.
| 1976 |
Sept. 9: Mao Zedong dies of ALS ("Lou Gehrig's Disease") |
| Oct. 7: Hua Guofeng assumes the post of chairman of the CCP Central Military Commission
(zhonggong zhongyang junshi weiyuanhui 中共中央軍事委員會, abbrev. CCP CMC) |
| 1979 |
Jan. 1: Ye Jianying 葉劍英, chairman of the Standing Committee of the PRC's National People's Congress
(quanguo renmin daibiao dahui 全國人民代表大會, abbrev. NPC), delivers the "Message
to Compatriots in Taiwan" (gao Taiwan tongbao shu 告台灣同胞書) and announces the end of Kinmen's bombardment |
| April 4: ROC President Chiang Ching-kuo announces the "three no's policy" (sanbu zhengce
三不政策)—no contacts, no negotiations, no compromise (bu jiechu, bu tanpan, bu tuoxie
不接觸,不談判,不妥協)—towards the PRC |
| 1981 |
June 28: Hua Guofeng is replaced as CCP CMC chairman by Deng Xiaoping |
| Sept. 30: Ye Jianying explains the "Nine Principles
for the Peaceful Reunification with Taiwan" (youguan heping tongyi Taiwan de jiutiao fangzhen zhengce
有關和平統一臺灣的九條方針政策, abbrev. Ye jiu tiao 葉九條 in Chinese, in English usually referred to as
"Ye's Nine Principles" or "Nine-Article Statement") to Xinhua journalists |
| 1982 |
Jan. 11: Deng Xiaoping reveals to foreign guests that Ye's Nine Principles actually mean "one country, two systems" (yiguo liangzhi 一國兩制, abbrev. 1C2S) and
would also apply to the issue of Hong Kong |
| 1986 |
May 3: A China Airlines (CAL) Boeing 747-200F cargo plane
with 3 crew flying from Singapore's Changi Airport to Bangkok's Don Mueang Airport is hijacked when pilot Wang Hsi-chüeh
王錫爵 overpowers his colleagues and diverts the jet to Guangzhou Baiyun International Airport 廣州白雲國際機場 |
| May 20: CAL reaches an agreement with the PRC's Civil Aviation Administration of China (Zhongguo minyong
hangkong zongju 中國民用航空總局, abbrev. CAAC) about the return of its hijacked cargo plane and two crew members |
| May 23: Two crewmen of the hijacked CAL cargo plane return to Taiwan |
| 1987 |
Nov. 1: The ROC Red Cross starts accepting applications from residents of Taiwan who wish to visit
relatives on the Chinese mainland |
| 1988 |
Aug. 18: The Inter-Agency Mainland Affairs Committee (xingzhengyuan dalu gongzuo huibao
行政院大陸工作會報) is set up under the ROC Executive Yuan |
| Sept. 9: The Taiwan Affairs Office (guowuyuan Taiwan shiwu
bangongshi 國務院台灣事務辦公室, abbrev. guo Tai ban 國台辦 in Chinese and TAO in English) under
the PRC State Council is established |
| 1989 |
June 10: Direct telephone links are opened between the two sides of the Taiwan Strait |
| Nov. 9: Jiang Zemin succeeds Deng Xiaoping as CCP CMC chairman |
| 1990 |
April 30: Taiwan allows elected officials of all levels to make private visits to the mainland during recesses,
and veterans who were stranded on the mainland after the ROC government moved to Taiwan in 1949 are allowed to apply for
resettlement in Taiwan |
| June 25: The ROC government allows reporters from the mainland to visit Taiwan for newsgathering purposes
(first two mainland journalists arrive on Aug. 12, 1991) |
| Oct. 7: The National Unification Council (guojia tongyi weiyuanhui
國家統一委員會, abbrev. guotonghui 國統會 in Chinese and NUC in English) is established under the ROC Presidential
Office |
| Nov. 21: The private, government-funded Straits Exchange Foundation
(SEF) is established in Taiwan for direct dealings and handling of technical affairs with the mainland |
| 1991 |
Jan. 28: The ROC creates the Mainland Affairs Council (MAC) |
| March 14: The ROC Executive Yuan adopts the "Guidelines for National
Unification" (guojia tongyi wangling 國家統一網領) |
| June 30: The ROC Planning Commission for the Recovery of the Mainland
is disbanded |
| Oct. 12: The DPP adopts the "Taiwan Independence Clause" (Taidu
danggang 台獨黨綱) |
| Dec. 16: The PRC establishes the "Association for Relations Across
the Taiwan Straits" (haixia liang'an guanxi xiehui 海峽兩岸關係協會, abbrev. haixiehui 海協會 in Chinese
and ARATS in English) in Beijing as the counterpart to Taiwan's SEF |
| 1992 |
March 23: First meeting of representatives of ARATS and SEF in Beijing |
| July 16: The ROC Legislative Yuan passes the
"Act Governing Relations
between People of the Taiwan Area and the Mainland Area" (Taiwan diqu yu dalu diqu renmin guanxi tiaoli
台灣地區與大陸地區人民關係條例), promulgated on July 31; effective on Sept. 18 that year |
| Aug. 1: The NUC defines one China as "one country" and "two areas separately ruled by two political
entities" |
| Sept. 2: The ROC government announces that members of the Chinese People's Political Consultative Conference
(Zhongguo renmin zhengzhi xieshang huiyi 中國人民政治協商會議, abbrev. CPPCC) in the PRC may apply to visit Taiwan
for cultural and academic exchanges |
| Oct. 28–30: Negotiations between representatives of ARATS and SEF in Hong Kong led by Zhou Ning 周寧 (ARATS)
and Shi Hwei-yow 許惠祐 (SEF); the talks end without progress or results, no consensus
is reached between the two sides |
| 1993 |
April 27–29: SEF-ARATS summit in Singapore, four agreements are signed |
| Aug. 31: The PRC releases its white paper "The Taiwan Question and Reunification
of China" (Taiwan wenti yu Zhongguode tongyi 台灣問題與中國的統一) |
| 1994 |
March 31: At Qiandao Lake 千島湖 (Zhejiang Province), 24 Taiwanese tourists are robbed and killed by gangsters;
on June 12 the Hangzhou Intermediate People's Court (Hangzhoushi zhongji renmin fayuan 杭州市中級人民法院) sentences
three men to death for the crime (executed on June 19); lack of transparency of the PRC authorities in handling the case seriously
damaged the cross-Strait relations |
| 1996 |
March 8–15: The PRC conducts several missile drills as well as naval and air force exercises less than
60 km off Keelung and Kaohsiung to
intimidate Taiwan's populace ahead of the ROC presidential election |
| March 9: The PRC announces live-fire exercises to be conducted near Penghu
from March 12–20 |
| March 15: The PRC announces a simulated amphibious assault planned for March 18–25 off Fujian's coast |
| 1998 |
July 14: Zhu Lilan 朱麗蘭, PRC Minister of Science and Technology, arrives in Taipei for a 9-day visit to Taiwan |
| Oct. 18: SEF Chairman Koo Chen-fu 辜振甫 meets PRC President Jiang Zemin in Beijing |
| 1999 |
May 8: The DPP replaces its 1991 "Taiwan Independence Clause" with the "Resolution on Taiwan's Future"
(Taiwan qiantu jueyiwen 台灣前途決議文) |
| July 9: In an interview with German radio station Deutsche Welle, ROC President Lee Teng-hui defines ROC-PRC
ties as "special state-to-state relations" (teshude guo yu guo guanxi
特殊的國與國關係) |
| 2000 |
Feb. 21: The PRC releases its white paper "The One China Principle and
Taiwan Question" (yige Zhongguode yuanze yu Taiwan wenti 一個中國的原則與台灣問題) |
| May 20: In his inauguration address ROC President
Chen Shui-bian announces his policy of "Four Noes and One Without" (si bu yi
meiyou 四不一沒有) |
| 2001 |
Jan. 1: The Three Mini Links (xiao santong 小三通)—direct trade, postal, and transportation
links—from Kinmen and Matsu to Xiamen
and Fuzhou are opened |
| 2003 |
Jan. 26: Historic indirect charter flight of a CAL passenger plane across the Taiwan Strait |
| 2004 |
Sept. 19: Hu Jintao succeeds Jiang Zemin as CCP CMC chairman |
| 2005 |
Jan. 15: The ROC's CAA and the PRC's CAAC reach an agreement about direct non-stop charter flights
between the two sides during the Lunar New Year season |
| March 14: The PRC adopts the "Anti-Secession Law" (fan fenlie
guojiafa 反分裂國家法) |
| 2006 |
Feb. 21: Former MAC Chairman Su Chi admits he invented the "1992
Consensus" (jiuer gongshi 九二共識) in 2000 in order to improve cross-strait relations |
| Feb. 27: ROC President Chen Shui-bian announces that the NUC shall 'cease to function' (zhongzhi yunzuo
終止運作) and the National Unification Guidelines shall 'cease to apply' (zhongzhi shiyong 終止適用) |
| April 25: ROC Premier Su Tseng-chang announces an expansion of the three mini links between Kinmen and Matsu
and PRC ports in Fujian Province |
| Aug. 17: The PRC sets up the Association for Tourism Exchange Across the Taiwan Straits (haixia liang'an lüyou
jiaoliu xiehui 海峽兩岸旅遊交流協會) |
| Aug. 25: Taiwan establishes the Taiwan Strait Tourism Association (Taiwan haixia liang'an guanguang lüyou
xiehui 台灣海峽兩岸觀光旅遊協會) |
| 2007 |
April 1: Residents of the Penghu archipelago are included in the three mini links |
| 2008 |
June 11–14: Direct talks between SEF and ARATS are resumed |
| July 4: Direct passenger charter flights on weekends between Taiwan and China begin; the first batch of PRC
tourists arriving in Taiwan is accompanied by a delegation headed by PRC tourism official Shao Qiwei 邵琪偉 |
| Dec. 15: Daily direct flights between the PRC and Taiwan begin, direct shipping links are also opened up across
the Taiwan Strait |
| 2010 |
June 29: Representatives of SEF and ARATS sign the Economic Cooperation Framework Agreement (haixia
liang'an jingji hezuo jiagou xieyi 海峽兩岸經濟合作架構協議, abbrev. ECFA) |
| Sept. 2–8: PRC Minister of Culture Cai Wu 蔡武 visits Taiwan |
| 2012 |
July 6–12: CCP politician Cai Qi 蔡奇 visits Taiwan |
| Nov. 15: Xi Jinping succeeds Hu Jintao as CCP CMC chairman |
| 2014 |
Feb. 11–14: MAC Chairman Wang Yu-chi visits the PRC, confers with his counterpart Zhang Zhijun—head
of the TAO—in Nanjing, marking the first official government-to-government contact between the two sides, Wang and Zhang
address each other with their official titles |
| June 25–28: TAO head Zhang Zhijun visits Taiwan (New Taipei City, Changhua, Taichung, and Kaohsiung) |
| 2015 |
Nov. 7: In a historical summit, ROC President Ma Ying-jeou and
PRC President Xi Jinping meet in Singapore's Shangri-La Hotel in the capacity as leader of either side of the Taiwan Strait
and address each other as 'Mr.' (xiansheng 先生), Ma uses the term "ROC", no agreement is signed and no joint statement
is issued |
| 2017 |
March 19: Taiwanese pro-democracy activist and former DPP staffer Lee Ming-che 李明哲 is detained after
entering the PRC |
| March 19: Nov. 28: The Yueyang City Intermediate People's Court (Yueyangshi zhongji renmin fayuan
岳陽市中級人民法院) in Hunan province sentences Lee Ming-che to 5 years imprisonment for "subversion of state power" (released
from jail on April 14, 2022) |
| 2018 |
Feb. 28: The PRC TAO introduces "31 Favorable Measures for Taiwanese" (sanshiyi xiang hui Tai cuoshi
三十一項惠台措施) to promote more amicable ties between the two sides and open up more opportunities for Taiwanese living
in China |
| 2019 |
Sept. 28: The DPP passes a resolution rejecting "one country, two systems" |
| Nov. 4: The TAO and the PRC National Development and Reform Commission (guojia fazhan han gaige
weiyuanhui 國家發展和改革委員會, abbrev. guojia fagaiwei 國家發改委 or fazhan gaigewei 發展改革委 in Chinese
and NDRC in English) unveil "26 Measures" (dui Tai ershiliu tiao cuoshi 對台二十六條措施) to further promote economic and
cultural exchanges and cooperation across the Taiwan Strait |
| 2020 |
Sept. 21: PRC Foreign Ministry Spokesperson Wang Wenbin 汪文斌 denies the existence of the
median line in the Taiwan Strait |
| 2022 |
Aug. 2: Less than half an hour after the arrival of US House of Representatives speaker Nancy Pelosi and
her delegation for a 2-day visit in Taiwan the PRC announces military exercises which would include live-fire drills in six zones
surrounding Taiwan from Aug. 4 to Aug. 7 |
| Aug. 4: The PRC announces a seventh live-fire zone off Taiwan's east coast, in effect until Aug. 8; the
ROC MND reports that the PLA launched a total of 11 Dongfeng ballistic missiles
into the waters surrounding northern, southern, and eastern Taiwan in several waves; Japan's government reports that five ballistic
missiles launched by the PRC landed in Japan's exclusive economic zone (EEZ) that day, four of them had flown over Taiwan |
| Aug. 8: The PRC announces that it would extend military exercises by sea and air around Taiwan |
| Aug. 10: The PRC releases its white paper "The Taiwan Question and China's
Reunification in the New Era" ( Taiwan wenti yu xin shidai Zhongguo tongyi shiye 台灣問題與新時代中國統一事業) |
| Aug. 15: Following the visit of another US congressional delegation in Taiwan, the PRC announces fresh military drills
around the island |
| 2023 |
March 27—April 7: Former ROC Ma Ying-jeou visits the PRC (the itinerary
including Shanghai, Nanjing, Wuhan, Chongqing, Changsha) to pay respects to his ancestors, the trip's timing coinciding with Tomb
Sweeping Festival (qingmingjie 清明節 aka saomujie 掃墓節), meets with TAO
Director Song Tao 宋濤 in Wuhan on March 30; first visit of a former ROC president to the PRC since 1949 |
| April 8: The PRC launches three days of military exercises around Taiwan dubbed "United Sword" (lianhe
lijian yanxi 聯合利劍演習) in retaliation after ROC President Tsai Ing-wen met with
US House of Representative Speaker Kevin McCarthy on US soil |
| April 12: According to media reports the PRC planned to impose a no-fly zone north of Taiwan from April 16–18,
following protests the closure of the airspace in question is shortened to 27 minutes from 9:30 a.m. to 9:57 a.m. on April 16, 2023 |
| 2024 |
Feb. 14: A speedboat from the PRC illegally enters Taiwanese waters
near Beiding Island 北碇 of Kinmen County and capsizes after being pursued by a CGA vessel, 2 of the 4 persons on board drown; the TAO
subsequently denies the existence of "restricted waters" (xianzhi shuiyu 限制水域) and "prohibited waters" (jinzhi shuiyu
禁止水域) around Kinmen |
The portraits below show the successive paramount leaders of the PRC's
authoritarian regime (i. e. CCP CMC chairmen).
| 1936–1976 |
1976–1981 |
1981–1989 |
1989–2004 |
2004–2012 |
2012— |
 |
 |
 |
 |
 |
 |
| Mao Zedong 毛澤東 (1893-1976, Hunan) |
Hua Guofeng 華國鋒 (1921-2008, Shanxi) |
Deng Xiaoping 鄧小平 (1904-1997, Sichuan) |
Jiang Zemin 江澤民 (1926-2022, Jiangsu) |
Hu Jintao 胡錦濤 (b. 1942, Anhui) |
Xi Jinping 習近平 (b. 1953, Shaanxi) |
TOP HOME
[◆ Taiwan's history]
[Directory cross-Strait relations]
The Taiwan Strait (Taiwan haixia 台灣海峽) is the part in the Western Pacific that separates Taiwan
from continental China. In international shipping, it is regarded a critical corridor connecting the East China Sea
(donghai 東海) to the South China Sea (nanhai 南海).
The shortest straight line between the two sides can be drawn from Taiwan's Zhonghe Borough 中和里 (Houlong Town
後龍鎮, Miaoli County) to China's Wan'an Village 萬安村 (Dongshan Town 東瀚鎮,
Fuqing City 福清市, Fuzhou City 福州市, Fujian Province), and according to Google Earth that line has a length of 136.34 km. From Taiwan's northern tip, the Taiwan Strait
is at least 198 km wide, from the southern tip of the island at least 361 km, the average width is about 180 km. The
Taiwan Strait is relatively shallow with an average depth of 60 m, in the Penghu
channel it reaches a maximum depth of 177 m, while above the Taiwan Shoal aka Taiwan Bank (Taiwan qiantan
台灣淺灘) near the center of the Taiwan Strait's southern mouth it is merely 25 m deep.
Since the end of the Chinese Civil War (1945-1949) and the establishment of the PRC there has been a tacit
agreement between Taipei and Beijing not to violate the median line (haixia zhongxian 海峽中線) of the
Taiwan Strait which is also known as Davis Line (Daweisi xian 戴維斯線). The median line never had official
status but was observed by both the ROC and the PRC starting in the 1950s, and crossing it as a deliberate provocation
has been rare and remains uncommon, although an increased number of such incursions was reported following the
high-profile visit of US House of Representatives speaker Nancy Pelosi
to Taiwan in early August 2022.
The ROC government considers the Taiwan Strait to be international waters, except for the 12-nautical-mile
strip defined as territorial waters. The US considers the Taiwan Strait to be international waters as well. In
contrast, the PRC government claims that the waterway falls within its territorial waters and exclusive economic
zone (EEZ).
More relevant contents pertaining to that subject can be found on the following pages of this website.
TOP HOME
[◆ Taiwan's history]
[Directory cross-Strait relations]
Taiwan's civil society has produced numerous NGOs working in fields of all kinds. Some of them are dedicated
to improving the plight of people living in regions of the PRC where a majority of the population is non-Chinese
and subjected to restrictions and oppression, e. g. Tibet and Xinjiang.
Selected Taiwanese NGOs with a focus on Tibet:
- Taiwan Tibet Exchange Foundation (Taiwan Xizang jiaoliu jijinhui 台灣西藏交流基金會), established
on Jan. 20, 2003 in presence of then-ROC president Chen Shui-bian;
- Taiwan Tibetan Welfare Association (zai Tai Xizang ren fuli xiehui 在台西藏人福利協會), a non-profit
social group established on May 9, 2004 to promote the interaction and solidarity of Tibetans in Taiwan;
- Taiwan Friends of Tibet (Taiwan tubo zhi youhui 台灣圖博之友會, abbrev. TFOT), a non-profit NGO
of Taiwanese residents who are concerned about the human rights of Tibet. According to some online sources
that group was founded in 2006; and
- Human Rights Network for Tibet and Taiwan (Xizang Taiwan renquan lianxian 西藏台灣人權連線, abbrev.
Zang Tai lianxian 藏台連線 in Chinese and HRNTT in English), a non-profit NGO which held its founding
assembly on June 19, 2017.
Selected Taiwanese NGOs with a focus on Xinjiang/the Uyghur ethnic group:
- Taiwan Friends of Uyghurs (Taiwan weiwuer zhi youhui 台灣維吾爾之友會), a preparatory group of
which was formally set up on Sept. 29, 2012, its Facebook page was created on March 1, 2013; and
- Taiwan East Turkistan Association (Taiwan dong tujuesitan xiehui 臺灣東突厥斯坦協會, abbrev.
TETA), its Facebook page was created on June 13, 2019, the group had its first public appearance on July 5, 2019.
 |
| — — — Flag of East Turkestan — — — |
TOP HOME
[◆ Taiwan's history]
[Directory cross-Strait relations]
Foreign observers following the political events in contemporary Taiwan soon discover that common categories
used for political evaluation—left versus right, conservative versus liberal, or socialist versus capitalist—don't
really apply in Taiwan. That is due to the fact that the most controversial, defining political issue in today's Taiwan
is the relationship with China, which is much more passionately debated than other pressing
issues like the death penalty, nuclear energy or
marriage equality. In Taiwan, the two sides of the political
spectrum can be described as China-friendly and leaning towards pro-unification (blue camp) on the one side and
China-sceptical and leaning towards pro-independence (green camp) on the other side.
Surveys conducted from time to time analyzing whether Taiwan's inhabitants see themselves as Taiwanese, Chinese or both
indicate that the number of people in Taiwan considering themselves as Taiwanese only and not Chinese is steadily on the
rise, now exceeding more than half of the island's total population. A smaller but still sizeable portion of respondents
to said surveys identify themselves as both Taiwanese and Chinese, while the smallest group (single-digit percentage)
consider themselves as Chinese only.
The following two tables show the results of surveys conducted regularly by the Election Study Center (xuanju yanjiu zhongxin 選舉研究中心, abbrev. ESC) of the National Chengchi University (guoli
zhengzhi daxue 國立政治大學, abbrev. zhengda 政大 in Chinese and NCCU
in English) in Taipei. [ESC home page ⇒ Data
Archives ⇒ Trends of Core Political Attitudes]
- Table 1—Changes in the Taiwanese/Chinese Identity of Taiwanese
(since 1992), see ESC graphic
- Table 2—Changes in the Unification-Independence Stances of Taiwanese (since 1994),
see ESC graphic
All figures represent the respective percentage.
TOP HOME
[◆ Taiwan's history]
[Directory cross-Strait relations]
| Year |
Chinese |
Taiwanese |
Both |
No response |
| 1992 |
25.5 |
17.6 |
46.4 |
10.5 |
| 1993 |
[ No data available for that year! ] |
| 1994 |
26.2 |
20.2 |
44.6 |
8.9 |
| 1995 |
20.7 |
25.0 |
47.0 |
7.3 |
| 1996 |
17.6 |
24.1 |
49.3 |
9.0 |
| 1997 |
19.2 |
34.0 |
41.4 |
5.3 |
| 1998 |
16.3 |
36.2 |
39.6 |
7.8 |
| 1999 |
12.1 |
39.6 |
42.5 |
5.8 |
| 2000 |
12.5 |
36.9 |
44.1 |
6.5 |
| 2001 |
10.6 |
41.6 |
43.1 |
4.7 |
| 2002 |
9.2 |
41.2 |
43.7 |
5.8 |
| 2003 |
8.3 |
42.5 |
43.3 |
5.9 |
| 2004 |
6.2 |
41.1 |
47.7 |
5.0 |
| 2005 |
7.2 |
45.0 |
43.4 |
4.4 |
| 2006 |
6.3 |
44.2 |
44.9 |
4.6 |
| 2007 |
5.4 |
43.7 |
44.7 |
6.2 |
| 2008 |
4.0 |
48.4 |
43.1 |
4.5 |
| 2009 |
4.2 |
51.6 |
39.8 |
4.4 |
| 2010 |
3.8 |
52.7 |
39.8 |
3.7 |
| 2011 |
3.9 |
52.2 |
40.3 |
3.7 |
| 2012 |
3.6 |
54.3 |
38.5 |
3.6 |
| 2013 |
3.8 |
57.1 |
35.8 |
3.3 |
| 2014 |
3.5 |
60.6 |
32.5 |
3.5 |
| 2015 |
3.3 |
59.5 |
33.3 |
4.0 |
| 2016 |
3.4 |
58.2 |
34.3 |
4.1 |
| 2017 |
3.7 |
55.5 |
37.0 |
3.7 |
| 2018 |
3.6 |
54.5 |
38.2 |
3.7 |
| 2019 |
3.5 |
58.5 |
34.7 |
3.3 |
| 2020 |
2.6 |
64.3 |
29.9 |
3.2 |
| 2021 |
2.8 |
62.3 |
31.7 |
3.2 |
| 2022 |
2.5 |
63.3 |
30.6 |
3.6 |
| 2023 |
2.4 |
61.7 |
32.0 |
3.9 |
| 2024 |
2.4 |
63.4 |
31.0 |
3.2 |
| 2025 |
2.3 |
62.9 |
30.5 |
4.3 |
TOP HOME
[◆ Taiwan's history]
[Directory cross-Strait relations]
| Year |
① |
② |
③ |
④ |
⑤ |
⑥ |
⑦ |
| 1994 |
4.4 |
15.6 |
38.5 |
9.8 |
8.0 |
3.1 |
20.5 |
| 1995 |
2.3 |
19.4 |
24.8 |
15.6 |
8.1 |
3.5 |
26.3 |
| 1996 |
2.5 |
19.5 |
30.5 |
15.3 |
9.5 |
4.1 |
18.6 |
| 1997 |
3.2 |
17.3 |
30.5 |
16.3 |
11.5 |
5.7 |
15.4 |
| 1998 |
2.1 |
15.9 |
30.3 |
15.9 |
11.5 |
5.7 |
18.7 |
| 1999 |
2.2 |
15.2 |
30.9 |
18.8 |
13.6 |
4.7 |
14.5 |
| 2000 |
2.0 |
17.3 |
29.5 |
19.2 |
11.6 |
3.1 |
17.4 |
| 2001 |
2.8 |
17.5 |
35.9 |
16.4 |
10.5 |
3.7 |
13.3 |
| 2002 |
2.5 |
15.7 |
36.2 |
15.0 |
13.8 |
4.4 |
12.4 |
| 2003 |
1.8 |
11.9 |
35.0 |
18.0 |
14.5 |
6.2 |
12.5 |
| 2004 |
1.5 |
10.6 |
36.5 |
20.9 |
15.2 |
4.4 |
11.0 |
| 2005 |
1.8 |
12.3 |
37.3 |
19.9 |
14.2 |
6.1 |
8.5 |
| 2006 |
2.0 |
12.1 |
38.7 |
19.9 |
13.8 |
5.6 |
7.9 |
| 2007 |
1.9 |
10.0 |
36.8 |
18.4 |
13.7 |
7.8 |
11.4 |
| 2008 |
1.5 |
8.7 |
35.8 |
21.5 |
16.0 |
7.1 |
9.4 |
| 2009 |
1.3 |
8.5 |
35.1 |
26.2 |
15.0 |
5.8 |
8.1 |
| 2010 |
1.2 |
9.0 |
35.9 |
25.4 |
16.2 |
6.2 |
6.1 |
| 2011 |
1.5 |
8.8 |
33.8 |
27.4 |
15.6 |
4.6 |
8.2 |
| 2012 |
1.7 |
8.7 |
33.9 |
27.7 |
15.1 |
4.8 |
8.1 |
| 2013 |
1.9 |
9.2 |
32.6 |
26.3 |
17.2 |
5.7 |
7.2 |
| 2014 |
1.3 |
7.9 |
34.3 |
25.2 |
18.0 |
5.9 |
7.3 |
| 2015 |
1.5 |
8.1 |
34.0 |
25.4 |
17.9 |
4.3 |
8.8 |
| 2016 |
1.7 |
8.5 |
33.3 |
26.1 |
18.3 |
4.6 |
7.4 |
| 2017 |
2.3 |
10.1 |
33.1 |
25.3 |
17.2 |
5.1 |
6.9 |
| 2018 |
3.1 |
12.8 |
33.4 |
24.0 |
15.1 |
5.0 |
6.6 |
| 2019 |
1.4 |
7.5 |
29.8 |
27.8 |
21.8 |
5.1 |
6.5 |
| 2020 |
1.0 |
5.6 |
28.8 |
25.5 |
25.8 |
6.6 |
6.8 |
| 2021 |
1.4 |
6.0 |
28.4 |
27.3 |
25.1 |
6.0 |
5.8 |
| 2022 |
1.3 |
5.9 |
27.7 |
29.4 |
24.4 |
5.2 |
6.0 |
| 2023 |
1.2 |
6.2 |
27.9 |
33.2 |
21.5 |
3.8 |
6.2 |
| 2024 |
1.1 |
5.8 |
26.4 |
34.1 |
22.5 |
4.0 |
6.1 |
| 2025 |
1.1 |
5.3 |
26.5 |
34.6 |
21.5 |
4.3 |
6.6 |
①: Unification as soon as possible;
②: Maintain Status Quo, move towards Unification;
③: Maintain Status Quo, decide at later date;
④: Maintain Status Quo indefinitely;
⑤: Maintain Status Quo, move towards independence;
⑥: Independence as soon as possible;
⑦: No response.
TOP HOME
[◆ Taiwan's history]
[Directory cross-Strait relations]
===== ===== ===== ===== =====
++++++++++ TOP HOME
[previous chapter] ++++++++++
● 16 indigenous groups in 2 categories
● Population and distribution
● Increasing official recognition
● Indigenous representation
● Indigenous communities
● Overall demographic development
● Revitalization of Aboriginal languages
Although the population of modern Taiwan is ethnically dominated by Han of Chinese descent, large-scale
migration from China to Taiwan began only after the 1600s, a colonization
process resulting in the thorough marginalization of the island's original inhabitants who belong to the
category of ethnic Austronesians.
While archeological evidence confirms the presence of Malayo-Polynesian peoples on the island dating back
12,000 to 15,000 years, recent discoveries indicate that other populations had lived in Taiwan since the Pleistocene.
Legends of the indigenous peoples have mentioned 'little black people' (hei airen 黑矮人), and skeletal
remains recovered from the Xiaoma Caves (xiaomadong 小馬洞) in Taitung County
are being explained by researchers as belonging to non-Austronesian small-stature individuals that might have continued
to live in the remote mountains as late as the 1800s. A relevant study of scientists led by archeology professor
Hung Hsiao-chun 洪曉純 titled "Negritos in Taiwan and the wider prehistory of Southeast Asia: New discovery
from the Xiaoma Caves" can be found here.
TOP HOME
[◆ Taiwan's indigenous peoples]
[Directory general information]
Taiwan's indigenous peoples (yuanzhumin 原住民 or yuanzhu minzu 原住民族) are usually
divided into two categories:
◉ mountain aborigines (gaoshanzu 高山族), and
◉ plains aborigines (pingpuzu 平埔族).
Today, the ROC government recognizes 16 distinct indigenous groups (as
listed below), the Kavalan currently being the only officially recognized tribe in the plains
aborigines category.
| |
• Amis (amei zu 阿美族),
• Atayal (taiya zu 泰雅族),
• Bunun (bunong zu 布農族),
• Hla'alua (la'aluwa zu 拉阿魯哇族),
• Kanakanavu (kanakanafu zu 卡那卡那富族),
• Kavalan (gamalan zu 噶瑪蘭族),
• Paiwan (paiwan zu 排灣族),
• Puyuma (beinan zu 卑南族),
• Rukai (lukai zu 魯凱族),
• Saisiyat (saixia zu 賽夏族),
• Sakizaya (saqilaiya zu 撒奇萊雅族),
• Sediq (saideke zu 賽德克族),
• Thao (shao zu 邵族),
• Truku (tailuge zu 太魯閣族),
• Tsou (zou zu 鄒族 ), and
• Yami (yamei zu 雅美族) aka Tao (dawuren 達悟人). |
[Flag of the Tao people on Orchid Island]
|
The Yami are living on Orchid Island/Lanyu 蘭嶼 off Taitung's coast, the only of the 16 officially
recognized indigenous groups not being based on Taiwan proper.
Please note that some indigenous groups are at times referred to with alternative names: Kavalan =
Kavarawan; Puyuma = Pinuyumayan; Sakizaya = Sakiraya (shaqilaiya zu 沙奇萊亞族); Sediq =
Seediq; Thao = Sao; and Truku = Taroko. The Amis call themselves "Pangcah" (bangcha 邦查), the
Yami refer to themselves as "Iranmeylek".
In addition to the 16 officially recognized tribes, population statistics [二. 歷月人口統計資料(括弧內為資料起始年月),
04. 縣市原住民人口按性別及身分 (96)] compiled by the MOI also list
"undeclared" persons (shangwei shenbao 尚未申報), i. e. persons who identify as indigenous but not
belonging to one of the 16 tribes—including offspring of parents belonging to different tribes, or persons
belonging to indigenous groups not officially recognized by the ROC government.
The main ROC government agency in charge of aboriginal affairs is the cabinet-level Council of Indigenous Peoples (CIP).
TOP HOME
[◆ Taiwan's indigenous peoples]
[Directory general information]
The following two tables show the current population and main distribution areas (city/county) of Taiwan's indigenous
groups as well as their totals for the main categories, the respective data were provided by the MOI.
| Group |
Population |
Area |
| Amis |
237,059 |
Hualien, Taitung, Pingtung |
| Atayal |
103,516 |
Hualien, Nantou |
| Bunun |
66,076 |
Kaohsiung, Taitung, Nantou |
| Hla'alua |
514 |
Kaohsiung |
| Kanakanavu |
489 |
Kaohsiung |
| Kavalan |
1,796 |
Hualien, Taitung |
| Paiwan |
115,463 |
Taitung, Pingtung |
| Puyuma |
16,736 |
Taitung |
| Rukai |
14,674 |
Kaohsiung, Pingtung, Taitung |
| Saisiyat |
7,759 |
Miaoli, Hsinchu |
| Sakizaya |
1,231 |
Hualien |
| Sediq |
12,211 |
Hualien, Nantou |
| Thao |
963 |
Nantou |
| Truku |
37,240 |
Hualien |
| Tsou |
7,058 |
Chiayi, Nantou, Kaohsiung |
| Yami |
5,110 |
Taitung (Lanyu = Orchid Island) |
All population figures are for end of March 2026.
| 16 tribes | 627,905 | | 338,595 | Mountains Aborigines |
| Undeclared | 7,857 | 297,167 | Plains Aborigines |
| TOTAL | ↳ 635,762 ↲ | TOTAL |
TOP HOME
[◆ Taiwan's indigenous peoples]
[Directory general information]
In the MOI population statistics, detailed figures for
each indigenous group (Amis, Atayal, Bunun, Hla'alua, Kanakanavu, Kavalan, Paiwan, Puyuma, Rukai, Saisiyat, Sakizaya, Sediq,
Thao, Truku, Tsou, Yami) have been available since 2006 only.
———Amis———
| Year |
Population |
|
Year |
Population |
|
Year |
Population |
|
Year |
Population |
| 2006 | 166,769 | 2011 | 191,186 | 2016 | 206,126 | 2021 | 216,835 |
| 2007 | 172,685 | 2012 | 194,865 | 2017 | 208,525 | 2022 | 217,949 |
| 2008 | 177,909 | 2013 | 197,879 | 2018 | 211,031 | 2023 | 219,739 |
| 2009 | 183,799 | 2014 | 200,604 | 2019 | 213,368 | 2024 | 228,052 |
| 2010 | 187,763 | 2015 | 203,377 | 2020 | 215,377 | 2025 | 234,661 |
———Atayal———
| Year |
Population |
|
Year |
Population |
|
Year |
Population |
|
Year |
Population |
| 2006 | 79,024 | 2011 | 82,564 | 2016 | 88,243 | 2021 | 93,714 |
| 2007 | 81,348 | 2012 | 83,703 | 2017 | 89,563 | 2022 | 94,516 |
| 2008 | 81,545 | 2013 | 84,742 | 2018 | 90,884 | 2023 | 95,551 |
| 2009 | 80,061 | 2014 | 85,888 | 2019 | 92,014 | 2024 | 99,792 |
| 2010 | 81,552 | 2015 | 87,041 | 2020 | 92,843 | 2025 | 102,638 |
———Bunun———
| Year |
Population |
|
Year |
Population |
|
Year |
Population |
|
Year |
Population |
| 2006 | 47,585 | 2011 | 53,516 | 2016 | 57,436 | 2021 | 60,633 |
| 2007 | 48,974 | 2012 | 54,504 | 2017 | 58,132 | 2022 | 61,015 |
| 2008 | 50,132 | 2013 | 55,336 | 2018 | 58,894 | 2023 | 61,507 |
| 2009 | 51,447 | 2014 | 56,004 | 2019 | 59,497 | 2024 | 63,727 |
| 2010 | 52,585 | 2015 | 56,761 | 2020 | 60,101 | 2025 | 65,500 |
———Hla'alua———
| Year |
Population |
|
Year |
Population |
|
Year |
Population |
|
Year |
Population |
| 2014 | 213 | 2017 | 391 | 2020 | 423 | 2023 | 467 |
| 2015 | 287 | 2018 | 404 | 2021 | 445 | 2024 | 492 |
| 2016 | 358 | 2019 | 413 | 2022 | 457 | 2025 | 514 |
The Hla'alua were recognized as indigenous group on June 26, 2014.
———Kanakanavu———
| Year |
Population |
|
Year |
Population |
|
Year |
Population |
|
Year |
Population |
| 2014 | 125 | 2017 | 330 | 2020 | 375 | 2023 | 415 |
| 2015 | 253 | 2018 | 343 | 2021 | 391 | 2024 | 455 |
| 2016 | 317 | 2019 | 355 | 2022 | 409 | 2025 | 484 |
The Kanakanavu were recognized as indigenous group on June 26, 2014.
———Kavalan———
| Year |
Population |
|
Year |
Population |
|
Year |
Population |
|
Year |
Population |
| 2006 | 1,023 | 2011 | 1,275 | 2016 | 1,431 | 2021 | 1,550 |
| 2007 | 1,092 | 2012 | 1,307 | 2017 | 1,459 | 2022 | 1,565 |
| 2008 | 1,169 | 2013 | 1,340 | 2018 | 1,482 | 2023 | 1,579 |
| 2009 | 1,218 | 2014 | 1,378 | 2019 | 1,494 | 2024 | 1,670 |
| 2010 | 1,250 | 2015 | 1,412 | 2020 | 1,528 | 2025 | 1,752 |
———Paiwan———
| Year |
Population |
|
Year |
Population |
|
Year |
Population |
|
Year |
Population |
| 2006 | 81,123 | 2011 | 92,008 | 2016 | 98,951 | 2021 | 104,555 |
| 2007 | 83,391 | 2012 | 93,576 | 2017 | 100,164 | 2022 | 105,235 |
| 2008 | 85,617 | 2013 | 95,065 | 2018 | 101,472 | 2023 | 106,312 |
| 2009 | 88,323 | 2014 | 96,334 | 2019 | 102,625 | 2024 | 110,525 |
| 2010 | 90,209 | 2015 | 97,649 | 2020 | 103,759 | 2025 | 114,081 |
———Puyuma———
| Year |
Population |
|
Year |
Population |
|
Year |
Population |
|
Year |
Population |
| 2006 | 10,441 | 2011 | 12,564 | 2016 | 13,838 | 2021 | 14,891 |
| 2007 | 10,897 | 2012 | 12,874 | 2017 | 14,051 | 2022 | 15,073 |
| 2008 | 11,348 | 2013 | 13,129 | 2018 | 14,340 | 2023 | 15,200 |
| 2009 | 11,850 | 2014 | 13,387 | 2019 | 14,512 | 2024 | 15,873 |
| 2010 | 12,235 | 2015 | 13,629 | 2020 | 14,709 | 2025 | 16,472 |
———Rukai———
| Year |
Population |
|
Year |
Population |
|
Year |
Population |
|
Year |
Population |
| 2006 | 11,123 | 2011 | 12,311 | 2016 | 13,121 | 2021 | 13,609 |
| 2007 | 11,408 | 2012 | 12,513 | 2017 | 13,258 | 2022 | 13,672 |
| 2008 | 11,670 | 2013 | 12,699 | 2018 | 13,392 | 2023 | 13,738 |
| 2009 | 11,911 | 2014 | 12,861 | 2019 | 13,462 | 2024 | 14,155 |
| 2010 | 12,127 | 2015 | 12,971 | 2020 | 13,588 | 2025 | 14,540 |
———Saisiyat———
| Year |
Population |
|
Year |
Population |
|
Year |
Population |
|
Year |
Population |
| 2006 | 5,402 | 2011 | 6,100 | 2016 | 6,533 | 2021 | 6,830 |
| 2007 | 5,541 | 2012 | 6,226 | 2017 | 6,596 | 2022 | 6,837 |
| 2008 | 5,696 | 2013 | 6,324 | 2018 | 6,662 | 2023 | 6,886 |
| 2009 | 5,900 | 2014 | 6,412 | 2019 | 6,735 | 2024 | 7,300 |
| 2010 | 6,003 | 2015 | 6,483 | 2020 | 6,795 | 2025 | 7,631 |
———Sakizaya———
| Year |
Population |
|
Year |
Population |
|
Year |
Population |
|
Year |
Population |
| 2007 | N/A | 2012 | 702 | 2017 | 917 | 2022 | 1,049 |
| 2008 | 340 | 2013 | 775 | 2018 | 958 | 2023 | 1,054 |
| 2009 | 442 | 2014 | 842 | 2019 | 984 | 2024 | 1,123 |
| 2010 | 558 | 2015 | 865 | 2020 | 1,009 | 2025 | 1,205 |
| 2011 | 626 | 2016 | 881 | 2021 | 1,043 | |
The Sakizaya were recognized as indigenous group on Jan. 17, 2007.
———Sediq———
| Year |
Population |
|
Year |
Population |
|
Year |
Population |
|
Year |
Population |
| 2008 | N/A | 2013 | 8,749 | 2018 | 10,193 | 2023 | 11,062 |
| 2009 | 6,606 | 2014 | 9,081 | 2019 | 10,436 | 2024 | 11,582 |
| 2010 | 7,114 | 2015 | 9,399 | 2020 | 10,645 | 2025 | 12,076 |
| 2011 | 7,712 | 2016 | 9,686 | 2021 | 10,805 | |
| 2012 | 8,324 | 2017 | 9,921 | 2022 | 10,922 |
The Sediq were recognized as indigenous group on April 23, 2008.
———Thao———
| Year |
Population |
|
Year |
Population |
|
Year |
Population |
|
Year |
Population |
| 2006 | 602 | 2011 | 714 | 2016 | 776 | 2021 | 829 |
| 2007 | 626 | 2012 | 726 | 2017 | 778 | 2022 | 836 |
| 2008 | 647 | 2013 | 742 | 2018 | 799 | 2023 | 852 |
| 2009 | 693 | 2014 | 760 | 2019 | 816 | 2024 | 917 |
| 2010 | 702 | 2015 | 769 | 2020 | 826 | 2025 | 958 |
———Truku———
| Year |
Population |
|
Year |
Population |
|
Year |
Population |
|
Year |
Population |
| 2006 | 22,266 | 2011 | 27,664 | 2016 | 30,845 | 2021 | 33,217 |
| 2007 | 23,492 | 2012 | 28,446 | 2017 | 31,320 | 2022 | 33,582 |
| 2008 | 24,514 | 2013 | 29,118 | 2018 | 31,826 | 2023 | 34,022 |
| 2009 | 25,857 | 2014 | 29,731 | 2019 | 32,292 | 2024 | 35,522 |
| 2010 | 26,812 | 2015 | 30,308 | 2020 | 32,811 | 2025 | 36,841 |
———Tsou———
| Year |
Population |
|
Year |
Population |
|
Year |
Population |
|
Year |
Population |
| 2006 | 6,335 | 2011 | 6,891 | 2016 | 6,609 | 2021 | 6,704 |
| 2007 | 6,483 | 2012 | 6,995 | 2017 | 6,629 | 2022 | 6,732 |
| 2008 | 6,580 | 2013 | 7,088 | 2018 | 6,667 | 2023 | 6,750 |
| 2009 | 6,733 | 2014 | 6,801 | 2019 | 6,698 | 2024 | 6,906 |
| 2010 | 6,802 | 2015 | 6,672 | 2020 | 6,715 | 2025 | 7,005 |
———Yami———
| Year |
Population |
|
Year |
Population |
|
Year |
Population |
|
Year |
Population |
| 2006 | 2,977 | 2011 | 4,252 | 2016 | 4,538 | 2021 | 4,795 |
| 2007 | 3,337 | 2012 | 4,333 | 2017 | 4,596 | 2022 | 4,813 |
| 2008 | 3,510 | 2013 | 4,386 | 2018 | 4,629 | 2023 | 4,845 |
| 2009 | 3,748 | 2014 | 4,426 | 2019 | 4,680 | 2024 | 4,978 |
| 2010 | 3,920 | 2015 | 4,483 | 2020 | 4,751 | 2025 | 5,086 |
Figures and statistics concerning Taiwan's general population can be found here.
TOP HOME
[◆ Taiwan's indigenous peoples]
[Directory general information]
The following two maps show the distribution of indigenous peoples—the map on the left was provided
by the Council of Indigenous Peoples/CIP (source: ROC Yearbook 2015, p. 49), the alternative map on the right
is the reproduction of a map created by the National Chiayi University (guoli Jiayi daxue 國立嘉義大學).
— — — Maps of Taiwan's current 16 indigenous groups' distribution — — —
(Source/copyright notice see above)

The table below (created with MOI statistics) shows
that the two counties of Taitung and Hualien in eastern Taiwan have by far the highest proportion of indigenous residents.
Area |
2000 |
2025 |
| Population |
Aborigines |
% |
Population |
Aborigines |
% |
| Taipei City |
2,646,474 |
8,466 |
0.319 |
2,439,507 |
19,394 |
0.794 |
| New Taipei City |
3,567,896 |
31,019 |
0.869 |
4,044,831 |
64,708 |
1.599 |
| Taoyuan City |
1,732,617 |
37,422 |
2.159 |
2,355,106 |
90,247 |
3.831 |
| Taichung City |
2,460,098 |
17,642 |
0.717 |
2,868,465 |
42,210 |
1.471 |
| Tainan City |
1,842,337 |
3,009 |
0.163 |
1,852,477 |
11,118 |
0.600 |
| Kaohsiung City |
2,725,267 |
20,722 |
0.760 |
2,718,545 |
41,404 |
1.523 |
| Hsinchu County |
439,713 |
15,788 |
3.590 |
597,235 |
23,508 |
3.936 |
| Miaoli County |
559,703 |
8,415 |
1.503 |
531,172 |
12,570 |
2.366 |
| Changhua County |
1,310,531 |
2,939 |
0.224 |
1,210,206 |
7,400 |
0.611 |
| Nantou County |
541,537 |
24,657 |
4.553 |
467,881 |
30,144 |
6.442 |
| Yunlin County |
743,368 |
731 |
0.098 |
650,989 |
3,580 |
0.549 |
| Chiayi County |
562,305 |
4,550 |
0.809 |
473,181 |
6,386 |
1.349 |
| Pingtung County |
907,590 |
50,949 |
5.613 |
782,256 |
63,137 |
8.071 |
| Yilan County |
465,186 |
12,408 |
2.667 |
449,336 |
19,687 |
4.381 |
| Hualien County |
353,630 |
83,804 |
23.698 |
312,807 |
94,924 |
30.345 |
| Taitung County |
245,312 |
76,619 |
31.233 |
208,320 |
79,340 |
38.085 |
| Penghu County |
89,496 |
132 |
0.147 |
106,716 |
837 |
0.784 |
| Keelung City |
388,425 |
6,575 |
1.692 |
359,836 |
10,326 |
2.869 |
| Hsinchu City |
368,439 |
1,524 |
0.413 |
455,740 |
5,359 |
1.175 |
| Chiayi City |
266,183 |
546 |
0.205 |
261,592 |
1,443 |
0.551 |
| Kinmen County |
53,832 |
98 |
0.182 |
139,313 |
1,398 |
1.003 |
| Lienchiang County |
6,733 |
15 |
0.222 |
13,621 |
336 |
2.466 |
| ROC total |
22,276,672 |
408,030 |
1.831 |
23,299,132 |
629,456 |
2.701 |
TOP HOME
[◆ Taiwan's indigenous peoples]
[Directory general information]
After Taiwan was incorporated into the ROC in 1945, the government for decades officially recognized only 9
indigenous groups: Amis, Atayal, Bunun, Paiwan, Puyuma, Rukai, Saisiyat, Tsou, and Yami; the map on the right
(source: ROC Yearbook 2000, p. 29) showing their distribution.
The table below contains data provided by the ROC MOI and shows population figures of Taiwan's nine major Aboriginal
tribes at the end of 1988. Taiwan's indigenous population then totalled 335,603 persons, among them 180,990 mountain
dwellers and 154,613 plains dwellers. (Source: ROC Yearbook 1990-91, p. 26-27)
| Tribe |
Population |
|
Tribe |
Population |
| Amis |
128,628 |
Rukai |
7,575 |
| Atayal |
77,359 |
Saisiyat |
4,345 |
| Bunun |
36,294 |
Tsou |
7,540 |
| Paiwan |
61,058 |
Yami |
4,230 |
| Puyuma |
8,574 |
|
Note: Amis was spelled "Ami" in the ROC/Taiwan Yearbooks from the 1986 edition up to the 2003 edition.
Seven groups won recognition since the year 2001 (see the following chronology):
| 2001 |
Aug. 8: Thao (10th) |
| 2002 |
Dec. 25: Kavalan (11th) |
| 2004 |
Jan. 14: Truku (12th) |
| 2007 |
Jan. 17: Sakizaya (13th) |
| 2008 |
April 23: Sediq (14th) |
| 2014 |
June 26: Hla'alua (15th), Kanakanavu (16th) |
Except for the Kavalan, the members of the newly recognized groups had been listed under other indigenous groups
before their recognition—the Hla'alua, Kanakanavu and Thao under the Tsou; the Sediq and Truku under the Atayal; and
the Sakizaya under the Amis.
TOO ASSIMILATED?—Please note that several groups of Plains Aborigines like the Ketagalan (kaidagelan zu
凱達格蘭族), the Siraya (xilaya zu 西拉雅族), the Babuza (babusa zu 巴布薩族), the Makatao (makadao
zu 馬卡道族), the Pazeh (bazehai zu 巴則海族) and others continue fighting for official recognition. During a
one-day hearing held at the Constitutional Court on June 28, 2022, CIP Minister Icyang Parod expressed opposition to granting the Siraya and other
Pingpu tribes constitutionally-protected Indigenous status, citing "big differences" between the recognized indigenous people
and the Pingpu people regarding the degree of assimilation into Han society and warning that if Pingpu tribes were given
Indigenous status, the rights of the indigenous peoples would be greatly affected.
On Oct. 28, 2022 the Constitutional Court ruled that legal provisions invoked to reject applications by members of
an indigenous Pingpu tribe for formal Indigenous status were unconstitutional, and it ordered new rules to be drafted to
address the issue, including amendments to the Status Act for Indigenous Peoples (yuanzhumin shenfenfa 原住民身分法).
TOP HOME
[◆ Taiwan's indigenous peoples]
[Directory general information]
Since 1972 representatives of Taiwan's indigenous peoples have been granted seats in the Legislative Yuan (LY) and the National Assembly (NA).
Legislative Yuan
The by-elections in 1972 and 1975 for the First LY
included one aboriginal constituency for "Mountain compatriots"/Aborigines (shanbao 山胞), the by-elections in 1980, 1983, and 1986
two aboriginal constituencies for Plains aborigines (pingdi shanbao 平地山胞) and Mountain aborigines (shandi shanbao
山地山胞). The last by-election in 1989 included four aboriginal constituencies—two each for Plains aborigines and Mountain aborigines.
All indigenous representatives in the First Legislative Yuan were members of the KMT.
| By-election |
Plains aborigines |
Mountain aborigines |
| 1972 | Hua Ai 華愛 |
| 1975 | Hua Ai 華愛 |
| 1980 | Lin Tung-hung 林通宏 | Hua Ai 華愛 |
| 1983 | Yang Chuan-kwang 楊傳廣 | Hua Ai 華愛 |
| 1986 | Tsay Chung-han 蔡中涵 | Lin Tien-sheng 林天生 |
| 1989 | Chuang Chin-sheng 莊金生 Tsay Chung-han 蔡中涵 |
Hua Chia-chih 華加志 Kao Tien-lai 高天來 |
The Second and Third Legislative Yuan had six indigenous representatives, the Fourth, Fifth and Sixth Legislative Yuan had eight
indigenous representatives, and since the Seventh Legislative Yuan there are six indigenous representatives.
| LY |
Plains aborigines |
Mountain aborigines |
| 2 | Chuang Chin-sheng 莊金生 (KMT)
Kao Wei-ho 高巍和 (KMT)
Tsay Chung-han 蔡中涵 (KMT) | Hua Chia-chih 華加志 (KMT)
Kao Tien-lai 高天來 (KMT)
Walis Perin 瓦歷斯 • 貝林 (Ind.) |
| 3 | Chang Jen-hsiang 章仁香 (♀, KMT)
Chuang Chin-sheng 莊金生 (KMT)
Tsay Chung-han 蔡中涵 (KMT) | Chuan Wen-sheng 全文盛 (KMT)
Kao Yang-sheng 高揚昇 (KMT)
Walis Perin 瓦歷斯 • 貝林 (KMT) |
| 4 | Chang Jen-hsiang 章仁香 (♀, KMT)
Lin Cheng-er 林正二 (KMT)
Tsay Chung-han 蔡中涵 (①)
Yang Jen-fu 楊仁福 (KMT) | Kao Yang-sheng 高揚昇 (KMT)
Lin Chun-te 林春德 (KMT)
Tseng Hua-te 曾華德 (KMT)
Walis Perin 瓦歷斯 • 貝林 (①) |
| 5 | Chang Jen-hsiang 章仁香 (♀, KMT)
Lin Cheng-er 林正二 (PFP)
Sufin Siluko 廖國棟 (KMT)
Yang Jen-fu 楊仁福 (KMT) | Kao Chin Su-mei 高金素梅 (♀, Ind.)
Lin Chun-te 林春德 (PFP)
Tseng Hua-te 曾華德 (KMT)
Walis Perin 瓦歷斯 • 貝林 (②) |
| 6 | Chen Ying 陳瑩 (♀, DPP)
Lin Cheng-er 林正二 (PFP)
Sufin Siluko 廖國棟 (KMT)
Yang Jen-fu 楊仁福 (KMT) | Kao Chin Su-mei 高金素梅 (♀, NPSU)
Kung Wen-chi 孔文吉 (KMT)
Lin Chun-te 林春德 (PFP)
Tseng Hua-te 曾華德 (KMT) |
| 7 | Lin Cheng-er 林正二 (PFP)
Sufin Siluko 廖國棟 (KMT)
Yang Jen-fu 楊仁福 (KMT) | Chien Tung-ming 簡東明 (KMT)
Kao Chin Su-mei 高金素梅 (♀, NPSU)
Kung Wen-chi 孔文吉 (KMT) |
| 8 | Lin Cheng-er 林正二 (PFP)
Sra Kacaw 鄭天財 (KMT)
Sufin Siluko 廖國棟 (KMT) | Kao Chin Su-mei 高金素梅 (♀, NPSU)
Kung Wen-chi 孔文吉 (KMT)
Uliw Qaljupayare / Chien Tung-ming 簡東明 (KMT) |
| 9 | Chen Ying 陳瑩 (♀, DPP)
Sra Kacaw 鄭天財 (KMT)
Sufin Siluko 廖國棟 (KMT) | Kao Chin Su-mei 高金素梅 (♀, NPSU)
Kung Wen-chi 孔文吉 (KMT)
Uliw Qaljupayare / Chien Tung-ming 簡東明 (KMT) |
| 10 | Chen Ying 陳瑩 (♀, DPP)
Sra Kacaw 鄭天財 (KMT)
Sufin Siluko 廖國棟 (KMT) | Kao Chin Su-mei 高金素梅 (♀, Ind.)
Kung Wen-chi 孔文吉 (KMT)
Saidhai Tahovecahe 伍麗華 (♀, DPP) |
| 11 | Chen Ying 陳瑩 (♀, DPP)
Huang Jen 黃仁 (KMT)
Sra Kacaw 鄭天財 (KMT) | Kao Chin Su-mei 高金素梅 (♀, Ind.)
Lu Xian-yi 盧縣一 (KMT)
Saidhai Tahovecahe 伍麗華 (♀, DPP) |
① Nationwide Democratic Nonpartisan Union
② Taiwan Number One Party
National Assembly
The supplementary elections in 1972, 1980 and 1986 included two aboriginal
constituencies—1 Mountain aborigines (shandi shanbao 山地山胞), 1 Plains aborigines (pingdi shanbao 平地山胞).
All indigenous representatives in the First National Assembly were members of the KMT.
| By-election |
Plains aborigines |
Mountain aborigines |
| 1972 | CHANG You-teh 張有德 | LIN Zong-ming 林榮明 |
| 1980 | WUU Rong-cherng 武榮盛 | LIN Zong-ming 林榮明
|
| 1986 | YANG Jen-huang 楊仁煌 | HO Yau-huan 何耀寰 |
The Second and Third National Assembly each had six indigenous representatives, all of them belonging to the KMT.
The Ad Hoc-NA which was elected in 2005 had party representation only,
no seats were reserved for indigenous delegates.
| NA |
Lowland aborigines |
Highland aborigines |
| 2 |
LIN Cheng-er 林正二
LIN Chung-hsin 林忠信
LIN Rong-huei 林榮輝 |
CHEN Tseng-te 陳正德
JOHN Jee-min 江吉明
WONG Wen-der 翁文德 |
| 3 |
CHANG Cheng-chi 張政治
LIAO Kuo-tung 廖國棟
YANG Jen-huang 楊仁煌 |
FENG Pao-cheng 馮寶成
LEE Chi-sheng 李繼生
LIN Yi-lu 林益陸 |
TOP HOME
[◆ Taiwan's indigenous peoples]
[Directory general information]
Alphabetical index of indigenous delegates
Chang Cheng-chi 張政治———NA 3
Chang Jen-hsiang 章仁香———LY 3, 4, 5
Chang You-teh 張有德———NA 1 (1972)
Chen Tseng-te 陳正德———NA 2
Chen Ying 陳瑩———LY 6, 8, 9, 10, 11
Chien Tung-ming 簡東明———see Uliw Qaljupayare!
Chuan Wen-sheng 全文盛———LY 3
Chuang Chin-sheng 莊金生———LY 1 (1989); LY 2, 3
Feng Pao-cheng 馮寶成———NA 3
Ho Yau-huan 何耀寰———NA 1 (1986)
Hua Ai 華愛———LY 1 (1972, 1975, 1980, 1983)
Hua Chia-chih 華加志———LY 1 (1989); LY 2
Huang Jen 黃仁———LY 11
John Jee-min 江吉明———NA 2
Kao Chin Su-mei 高金素梅———LY 5, 6, 7, 8, 9, 10, 11
Kao Tien-lai 高天來———LY 1 (1989); LY 2
Kao Wei-ho 高巍和———LY 2
Kao Yang-sheng 高揚昇———LY 3, 4
Kung Wen-chi 孔文吉———LY 6, 7, 8, 9, 10
Lee Chi-sheng 李繼生———NA 3
Liao Kuo-tung 廖國棟———see Sufin Siluko!
Lin Cheng-er 林正二———LY 4, 5, 6, 7, 8; NA 2
Lin Chun-te 林春德———LY 4, 5, 6
Lin Chung-hsin 林忠信———NA 2
Lin Rong-huei 林榮輝———NA 2
Lin Tien-sheng 林天生———LY 1 (1986)
Lin Tung-hung 林通宏———LY 1 (1980)
Lin Yi-lu 林益陸———NA 3
Lin Zong-ming 林榮明———NA 1 (1972, 1980)
Lu Xian-yi 盧縣一———LY 11
Saidhai Tahovecahe 伍麗華———LY 10, 11
Sra Kacaw 鄭天財———LY 8, 9, 10, 11
Sufin Siluko 廖國棟———LY 5, 6, 7, 8, 9, 10; NA 3 (as Liao Kuo-tung)
Tsay Chung-han 蔡中涵———LY 1 (1986, 1989); LY 2, 3, 4
Tseng Hua-te 曾華德———LY 4, 5, 6
Uliw Qaljupayare———LY 7, 8, 9
Walis Perin 瓦歷斯 • 貝林———LY 2, 3, 4, 5
Wong Wen-der 翁文德———NA 2
Wuu Rong-cherng 武榮盛———NA 1 (1980)
Yang Chuan-kwang 楊傳廣———LY 1 (1983)
Yang Jen-fu 楊仁福———LY 4, 5, 6, 7
Yang Jen-huang 楊仁煌———NA 1 (1986); NA 3
Saidhai Tahovecahe is sometimes referred to as Wu Li-hua 伍麗華, Sra Kacaw as Jeng Tian-tsair 鄭天財,
Uliw Qaljupayare as Chien Tung-ming 簡東明, and Walis Perin as Tsai Kuiy-tsung 蔡貴聰. The tribal names of
other representatives are added in brackets: Hua Ai 華愛 (Taligu Puljaljuyan), Hua Chia-chih 華加志 (Tjaravak),
Huang Jen 黃仁 (Kin Cyang), Kao Chin Su-mei 高金素梅 (Ciwas Ali), Kao Wei-ho 高巍和 (Takapu),
Kung Wen-chi 孔文吉 (Yosi Takun), Tseng Hua-te 曾華德 (Tjivuluan), and Yang Chuan-kwang 楊傳廣
(Maysang Kalimud). Please note that Kao Chin Su-mei is sometimes referred to in English as May Chin. Chang
Jen-hsiang 章仁香, Hua Chia-chih, and Walis Perin also served as CIP ministers
in the course of their political carreers. Additional information about indigenous legislators can be found here.
TOP HOME
[◆ Taiwan's indigenous peoples]
[Directory general information]
The CIP website lists 55 indigenous communities (yuanxiang 原鄉) in 12 Taiwanese cities and counties, 30
of which belong to the category of Mountain Aborigines communities (shandixiang 山地鄉/Ⓜ), 25 to the category of Plains Aborigines communities (pingdixiang 平地鄉/Ⓟ).
In the following list, a ⒰
represents an urban township (zhen 鎮), an ⒭
represents a rural township (xiang 鄉).
• 55 indigenous communities with their 3-digit postal codes and area
| City / county |
Community, postal code |
Ⓜ / Ⓟ |
Area (km²) |
| New Taipei City |
Wulai District 烏來區 233 |
Ⓜ |
321.1306 |
| Taoyuan City |
Fuxing District 復興區 336 |
Ⓜ |
350.7775 |
| Hsinchu County |
Guanxi Township 關西鎮 306 ⒰ |
Ⓟ |
125.5193 |
| " |
Jianshi Township 尖石鄉 313 ⒭ |
Ⓜ |
527.5795 |
| " |
Wufeng Township 五峰鄉 311 ⒭ |
Ⓜ |
227.7280 |
| Miaoli County |
Nanzhuang Township 南庄鄉 353 ⒭ |
Ⓟ |
165.4938 |
| " |
Shitan Township 獅潭鄉 354 ⒭ |
Ⓟ |
79.4324 |
| " |
Tai'an Township 泰安鄉 365 ⒭ |
Ⓜ |
614.5127 |
| Taichung City |
Heping District 和平區 424 |
Ⓜ |
1,037.8192 |
| Nantou County |
Ren'ai Township 仁愛鄉 546 ⒭ |
Ⓜ |
1,273.5312 |
| " |
Xinyi Township 信義鄉 556 ⒭ |
Ⓜ |
1,422.4188 |
| " |
Yuchi Township 魚池鄉 555 ⒭ |
Ⓟ |
121.3735 |
| Chiayi County |
Alishan Township 阿里山鄉 605 ⒭ |
Ⓜ |
427.8471 |
| Kaohsiung City |
Maolin District 茂林區 851 |
Ⓜ |
194.0000 |
| " |
Namaxia District 那瑪夏區 849 |
Ⓜ |
252.9895 |
| " |
Taoyuan District 桃源區 848 |
Ⓜ |
928.9800 |
| Pingtung County |
Chunri Township 春日鄉 942 ⒭ |
Ⓜ |
160.0010 |
| " |
Laiyi Township 來義鄉 922 ⒭ |
Ⓜ |
167.7756 |
| " |
Majia Township 瑪家鄉 903 ⒭ |
Ⓜ |
78.7008 |
| " |
Manzhou Township 滿州鄉 947 ⒭ |
Ⓟ |
142.2013 |
| " |
Mudan Township 牡丹鄉 945 ⒭ |
Ⓜ |
181.8366 |
| " |
Sandimen Township 三地門鄉 901 ⒭ |
Ⓜ |
196.3965 |
| " |
Shizi Township 獅子鄉 943 ⒭ |
Ⓜ |
301.0018 |
| " |
Taiwu Township 泰武鄉 921 ⒭ |
Ⓜ |
118.6266 |
| " |
Wutai Township 霧台鄉 902 ⒭ |
Ⓜ |
278.7960 |
| Yilan County |
Datong Township 大同鄉 267 ⒭ |
Ⓜ |
657.5442 |
| " |
Nan'ao Township 南澳鄉 272 ⒭ |
Ⓜ |
740.6520 |
| Hualien County |
Fengbin Township 豐濱鄉 977 ⒭ |
Ⓟ |
162.4332 |
| " |
Fenglin Township 鳳林鎮 975 ⒰ |
Ⓟ |
120.5181 |
| " |
Fuli Township 富里鄉 983 ⒭ |
Ⓟ |
176.3705 |
| " |
Guangfu Township 光復鄉 976 ⒭ |
Ⓟ |
157.1100 |
| " |
Hualien City 花蓮市 970 |
Ⓟ |
29.4095 |
| " |
Ji'an Township 吉安鄉 973 ⒭ |
Ⓟ |
65.2582 |
| " |
Ruisui Township 瑞穗鄉 978 ⒭ |
Ⓟ |
135.5862 |
| " |
Shoufeng Township 壽豐鄉 974 ⒭ |
Ⓟ |
218.4448 |
| " |
Wanrong Township 萬榮鄉 979 ⒭ |
Ⓜ |
618.4910 |
| " |
Xincheng Township 新城鄉 971 ⒭ |
Ⓟ |
29.4095 |
| " |
Xiulin Township 秀林鄉 972 ⒭ |
Ⓜ |
1,641.8555 |
| " |
Yuli Township 玉里鎮 981 ⒰ |
Ⓟ |
252.3719 |
| " |
Zhuoxi Township 卓溪鄉 982 ⒭ |
Ⓜ |
1,021.3130 |
| Taitung County |
Beinan Township 卑南鄉 954 ⒭ |
Ⓟ |
412.6871 |
| " |
Changbin Township 長濱鄉 962 ⒭ |
Ⓟ |
155.1868 |
| " |
Chenggong Township 成功鎮 961 ⒰ |
Ⓟ |
143.9939 |
| " |
Chishang Township 池上鄉 958 ⒭ |
Ⓟ |
82.6854 |
| " |
Daren Township 達仁鄉 966 ⒭ |
Ⓜ |
306.4454 |
| " |
Dawu Township 大武鄉 965 ⒭ |
Ⓟ |
69.1454 |
| " |
Donghe Township 東河鄉 959 ⒭ |
Ⓟ |
210.1908 |
| " |
Guanshan Township 關山鎮 956 ⒰ |
Ⓟ |
58.7351 |
| " |
Haiduan Township 海端鄉 957 ⒭ |
Ⓜ |
880.0382 |
| " |
Jinfeng Township 金峰鄉 964 ⒭ |
Ⓜ |
380.6635 |
| " |
Lanyu Township 蘭嶼鄉 952 ⒭ |
Ⓜ |
48.3892 |
| " |
Luye Township 鹿野鄉 955 ⒭ |
Ⓟ |
89.6980 |
| " |
Taimali Township 太麻里鄉 963 ⒭ |
Ⓟ |
96.6523 |
| " |
Taitung City 台東市 950 |
Ⓟ |
109.7691 |
| " |
Yanping Township 延平鄉 953 ⒭ |
Ⓜ |
455.8805 |
(Source for the area figures: Chinese Wikipedia)
More information about the ROC postal codes can be found here.
TOP HOME
[◆ Taiwan's indigenous peoples]
[Directory general information]
The following maps show the distribution of the 55 indigenous communities (highlighted with torquoise colour)
in 12 cities/counties on Taiwan proper.
 | |
Two maps of Taiwan proper are posted here for orientation purposes, one with the indigenous areas
highlighted in grey (left), the other one presenting all 55 indigenous communities (right). Please note that below
maps do not have a uniform scale. | |
 |
—————————— —————————— —————————— —————————— ——————————
| New Taipei City | |
Taoyuan City | |
Hsinchu County |
 | |
 | |
 |
—————————— —————————— —————————— —————————— ——————————
| Miaoli County | |
Taichung City |
 | |
 |
—————————— —————————— —————————— —————————— ——————————
| Nantou County | |
Chiayi County | |
Kaohsiung City |
 | |
 | |
 |
—————————— —————————— —————————— —————————— ——————————
| Pingtung County | |
Yilan County | |
Hualien County | |
Taitung County |
 | |
 | |
 | |
 |
As for the ROC's ten remaining units of local administration, the cities of Taipei, Keelung, Hsinchu, Chiayi and Tainan as well as the counties of Changhua, Yunlin, Penghu, Kinmen and Lienchiang (Matsu) have not designated any indigenous
communities.
Altogether, the 55 indigenous communities cover an area of 19,223.3976 km², which is 53.566 percent of Taiwan proper's
total area (all cities and counties of Taiwan proper combined have an area of 35,886.8685 km²). The two offshore islands of Taitung county (Lanyu Township 蘭嶼鄉 and Ludao Township 綠島鄉) are included in this
calculation. The percentage of the area indigenous communities cover in their respective city/county is listed in the
table below.
| City / county |
Area (km²) |
Indigenous area (km²) |
Indigenous percentage |
| Chiayi County 嘉義縣 |
1,903.6367 |
427.8471 |
22.475 % |
| Hsinchu County 新竹縣 |
1,427.5369 |
880.8268 |
61.702 % |
| Hualien County 花蓮縣 |
4,628.5714 |
4,628.5714 |
100.000 % |
| Kaohsiung City 高雄市 |
2,951.8524 |
1,375.9695 |
46.613 % |
| Miaoli County 苗栗縣 |
1,820.3149 |
859.4389 |
47.213 % |
| Nantou County 南投縣 |
4,106.4360 |
2,817.3200 |
68.607 % |
| New Taipei City 新北市 |
2,052.5667 |
321.1306 |
15.645 % |
| Pingtung County 屏東縣 |
2,775.6003 |
1,625.3362 |
58.558 % |
| Taichung City 台中市 |
2,214.8968 |
1,037.8192 |
46.856 % |
| Taitung County 台東縣 |
3,515.2526 |
3,500.1607 |
99.570 % |
| Taoyuan City 桃園市 |
1,220.9540 |
350.7775 |
28.729 % |
| Yilan County 宜蘭縣 |
2,143.6251 |
1,398.1962 |
65.225 % |
TOP HOME
[◆ Taiwan's indigenous peoples]
[Directory general information]
The table below shows population data of Taiwan's indigenous peoples as provided in the ROC
Yearbooks/Taiwan Yearbooks published by the central government, the column marked "%" referring
to the percentage of Aborigines in Taiwan's total population at the time. Please note that before the 2013
edition, disclosure of precise figures for the total population of the ROC was the exception; and older
editions of those Yearbooks up to the early 1980s did not contain any details about Taiwan's
aborigines at all.
| Yearbook |
Total population |
Aborigines |
% |
|
Yearbook |
Total population |
Aborigines |
% |
| 1986 |
19,012,512 |
320,000 |
1.68 |
2011 |
> 23,000,000 |
512,700 |
2.23 |
| 1991-92 |
> 20,000,000 |
335,603 |
1.68 |
2012 |
> 23,000,000 |
520,000 |
2.26 |
| 1996 |
21,170,000 |
365,000 |
1.72 |
2013 |
23,360,000 |
529,800 |
2.27 |
| 2001 |
22,160,000 |
402,000 |
1.81 |
2014 |
23,400,000 |
533,600 |
2.28 |
| 2006 |
22,800,000 |
465,000 |
2.04 |
2015 |
23,460,000 |
540,000 |
2.30 |
| 2010 |
23,000,000 |
504,500 |
2.19 |
2016 |
23,520,000 |
546,700 |
2.32 |
The following table contains figures provided by the MOI's Department of Household Registration Affairs and shows the number of all indigenous residents
in the Taiwan area in relation to the total population.
| Year |
Taiwan total population |
Total Aborigines |
Mountains |
Plains |
Indigenous percentage |
| 2000 |
22,276,672 |
408,030 |
216,479 |
191,551 |
1.831 % |
| 2001 |
22,405,568 |
420,892 |
223,763 |
197,129 |
1.878 % |
| 2002 |
22,520,776 |
433,689 |
230,492 |
203,197 |
1.925 % |
| 2003 |
22,604,550 |
444,823 |
236,138 |
208,685 |
1.967 % |
| 2004 |
22,689,122 |
454,951 |
241,196 |
213,755 |
2.005 % |
| 2005 |
22,770,383 |
464,961 |
246,320 |
218,641 |
2.041 % |
| 2006 |
22,876,527 |
474,919 |
251,307 |
223,612 |
2.076 % |
| 2007 |
22,958,360 |
484,174 |
256,214 |
227,960 |
2.108 % |
| 2008 |
23,037,031 |
494,107 |
261,345 |
232,762 |
2.144 % |
| 2009 |
23,119,772 |
504,531 |
266,716 |
237,815 |
2.182 % |
| 2010 |
23,162,123 |
512,701 |
271,187 |
241,514 |
2.213 % |
| 2011 |
23,224,912 |
519,984 |
275,226 |
244,758 |
2.238 % |
| 2012 |
23,315,822 |
527,250 |
279,208 |
248,042 |
2.261 % |
| 2013 |
23,373,517 |
533,601 |
282,786 |
250,815 |
2.282 % |
| 2014 |
23,433,753 |
540,023 |
286,307 |
253,716 |
2.304 % |
| 2015 |
23,492,074 |
546,698 |
289,968 |
256,730 |
2.327 % |
| 2016 |
23,539,816 |
553,228 |
293,581 |
259,647 |
2.350 % |
| 2017 |
23,571,227 |
559,426 |
297,110 |
262,316 |
2.373 % |
| 2018 |
23,588,932 |
565,561 |
300,460 |
265,101 |
2.397 % |
| 2019 |
23,603,121 |
571,427 |
303,706 |
267,721 |
2.4209 % |
| 2020 |
23,561,236 |
576,792 |
306,826 |
269,966 |
2.4480 % |
| 2021 |
23,375,314 |
580,758 |
309,152 |
271,606 |
2.4844 % |
| 2022 |
23,264,640 |
584,125 |
311,328 |
272,797 |
2.5107 % |
| 2023 |
23,420,442 |
589,038 |
314,221 |
274,817 |
2.5150 % |
| 2024 |
23,400,220 |
611,674 |
326,272 |
285,402 |
2.6139 % |
| 2025 |
23,299,132 |
629,456 |
335,470 |
293,986 |
2.7016 % |
For the newest population figures (most recent quarter) click here.
ROC Yearbooks published between 1996 and 2002 offered precise figures for Taiwan's indigenous population,
shown in the table directly below. However, it should be pointed out that the figures for 2000 and 2001 do not
match with the respective MOI year-end statistics; in the yearbooks it is not specified whether the figures
are year-end or mid-year statistics.
| Yearbook |
Page |
(for year) |
Total aborigines |
Mountain dwellers |
Plains dwellers |
| 1996 |
24 |
1994 |
364,869 |
196,506 |
168,363 |
| 1997 |
24 |
1995 |
369,682 |
197,601 |
172,081 |
| 1998 |
31 |
1996 |
381,204 |
202,878 |
178,326 |
| 1999 |
31 |
1997 |
389,974 |
207,338 |
182,636 |
| 2000 |
31 |
1998 |
396,094 |
210,442 |
185,652 |
| 2001 |
28 |
2000 |
402,452 |
213,668 |
188,784 |
| 2002 |
27 |
2001 |
413,519 |
219,630 |
193,889 |
Statistics about Taiwan's indigenous population compiled by the ROC MOI usually also contain a category
with the denomination "undeclared" (shangwei shenbao 尚未申報), referring to persons who are listed
as aborigines but do not belong to a specific indigenous group for various reasons—the two parents might
not belong to the same indigenous group, or the person might belong to an indigenous group that has not
been officially recognized by the ROC government, among others. The table below shows detailed figures
for all categories since 2014.
| Category |
2014 |
2016 |
2018 |
2020 |
2022 |
2024 |
| Total population |
540,023 |
553,228 |
565,561 |
576,792 |
584,125 |
611,674 |
| Mountains |
286,307 |
293,581 |
300,460 |
306,826 |
311,328 |
326,272 |
| Plains |
253,716 |
259,647 |
265,101 |
269,966 |
272,797 |
285,402 |
|
| Amis |
200,604 |
206,126 |
211,031 |
215,377 |
217,949 |
228,052 |
| Atayal |
85,888 |
88,243 |
90,884 |
92,843 |
94,516 |
99,792 |
| Bunun |
56,004 |
57,436 |
58,894 |
60,101 |
61,015 |
63,727 |
| Hla'alua |
213 |
358 |
404 |
423 |
457 |
492 |
| Kanakanavu |
125 |
317 |
343 |
375 |
409 |
455 |
| Kavalan |
1,378 |
1,431 |
1,482 |
1,528 |
1,565 |
1,670 |
| Paiwan |
96,334 |
98,951 |
101,472 |
103,759 |
105,235 |
110,525 |
| Puyuma |
13,387 |
13,838 |
14,340 |
14,709 |
15,073 |
15,873 |
| Rukai |
12,861 |
13,121 |
13,392 |
13,588 |
13,672 |
14,155 |
| Saisiyat |
6,412 |
6,533 |
6,662 |
6,795 |
6,837 |
7,300 |
| Sakizaya |
842 |
881 |
958 |
1,009 |
1,049 |
1,123 |
| Sediq |
9,081 |
9,686 |
10,193 |
10,645 |
10,922 |
11,582 |
| Thao |
760 |
776 |
799 |
826 |
836 |
917 |
| Truku |
29,731 |
30,845 |
31,826 |
32,811 |
33,582 |
35,522 |
| Tsou |
6,801 |
6,609 |
6,667 |
6,715 |
6,732 |
6,906 |
| Yami |
4,426 |
4,538 |
4,629 |
4,751 |
4,813 |
4,978 |
|
| 16 tribes total |
524,847 |
539,689 |
553,976 |
566,255 |
574,662 |
603,069 |
| Undeclared |
15,176 |
13,539 |
11,585 |
10,537 |
9,463 |
8,605 |
TOP HOME
[◆ Taiwan's indigenous peoples]
[Directory general information]
The ROC government actively promotes the development of indigenous languages. After the Indigenous Languages
Development Act (yuanzhu minzu yuyan fazhanfa 原住民族語言發展法) was promulgated on June 14, 2017,
the Foundation for the Research and Development of Indigenous Languages (yuanzhumin yuyan yanjiu fazhan
jijinhui 原住民語言研究發展基金會) was established on Feb. 22, 2020.
The numerous indigenous languages in the Taiwan area belong mostly to the category of Austronesian
languages and can be subdivided in several groups—a selection is listed below.
- Atayalic: Atayal/Tayal (Taiya yu 泰雅語), Sediq/Seediq (Saideke yu 賽德克語), Truku/Taroko (Tailuge yu 太魯閣語);
- Northwest Formosan: Saisiyat (Saixia yu 賽夏語), Kulon/Kulun (Guilun yu 龜崙語), Pazeh/Pazih (Bazai yu 巴宰語/Bazehai yu 巴則海語), Kahabu/Kaxabu (Gehawu yu 噶哈巫語);
- Western Plains: Thao (Shao yu 邵語), Babuza (Babusa yu 巴布薩語), Favorlang (Huweilong yu 虎尾壟方言/Huweilong fangyan 虎尾壟方言), Taokas (Daokasi yu 道卡斯語), Papora (Babula yu 巴布拉語), Hoanya (Hongya yu 洪雅語);
- Tsouic: Tsou (Zou yu 鄒語), Kanakanavu/Kanakanabu (Kanakanafu yu 卡那卡那富語), Saaroa (La'aluwa yu 拉阿魯哇語);
- South Formosan: Paiwan (Paiwan yu 排灣語), Rukai (Lukai yu 魯凱語), Bunun (bunong yu 布農語), Puyuma/Pinuyumayan (Beinan yu 卑南語);
- East Formosan (Northern): Kavalan/Kbalan (Gemalan yu 噶瑪蘭語), Ketagalan/Ketangalan (Kaidagelan yu 凱達格蘭語), Basay/Basai (Basai yu 巴賽語/Basai fangyan 巴賽方言);
- East Formosan (Central): Amis (Amei yu 阿美語), Sakizaya (Saqilaiya yu 撒奇萊雅語), Nataoran (Doulan yu 荳蘭語);
- East Formosan (Sirayaic): Siraya (Xilaya yu 西拉雅語), Makatau/Makatao (Makadao yu 馬卡道語), Taivoan (Dawulong yu 大武壠語).
Please note that Yami (Dawu yu 達悟語) is a Malayo-Polynesian language and belongs to the Batanic languages
found in the northern Philippines.
The map on the right shows the distribution of Formosan languages before Chinese colonization.
Source: Wikimedia ©
Creative Commons,
author: Kwamikagami (at English Wikipedia, date: Aug. 28, 2008)
The "Atlas of the World's Languages in Danger", published by the United Nations Educational, Scientific
and Cultural Organization (UNESCO), established six degrees of endangerment that 'may be distinguished with
regard to intergenerational transmission' (see table below).
Degree of endangerment |
Intergenerational language transmission |
| Safe |
Language is spoken by all generations; intergenerational transmission is uninterrupted |
| Vulnerable |
Most children speak the language, but it may be restricted to certain domains (e. g. home) |
| Definitely endangered |
Children no longer learn the language as mother tongue in the home |
| Severely endangered |
Language is spoken by grandparents and older generations; while the parent generation may understand it,
they do not speak it to children or among themselves |
| Critically endangered |
The youngest speakers are grandparents and older, and they speak the language partially and infrequently |
| Extinct |
There are no speakers left |
According to above definition applied by UNESCO, Taiwan's indigenous languages can be categorized as follows:
- Vulnerable: Amis, Paiwan, Puyuma, Rukai, Tayal, Truku, and Yami;
- Definitely endangered: Bunun;
- Severely endangered: Saisiyat;
- Critically endangered: Kanakanabu, Kbalan, Nataoran, Saaroa, Thao, and Tsou;
- Extinct: Babuza and its Favorlang dialect, Hoanya, Ketagalan and its Basay dialect, Makatao, Papora, Pazeh, Siraya, Taivoan, and Taokas.
One rare example of a case where linguistic research is still possible despite the language in question
being extinct is the Siraya language. In the 17th century, Dutch missionaries created bible translations with Dutch and Siraya parallel texts still extant.
TOP HOME
[◆ Taiwan's indigenous peoples]
[Directory general information]
● Different civilizatory concept
● Centuries of land grab
● Recent improvements
● No turning back?
● Disambiguation
The process that led from Taiwan being dominated by Austronesian peoples before the 17th century to
today's society consisting of ca. 95 percent ethnic Han must be categorized as de-indigenization. That development
was initiated by the Dutch, pushed forward forcefully by ethnic Han (mostly Holo and Hakka), and its execution was
by and large completed at the end of Japanese rule.
Ironically, the term "sinification" is often used in today's Taiwan by descendants of those who were responsible
for robbing Taiwan's indigenous peoples of their land and pursuing their general marginalization, and it has become a
political buzzword in the antagonism between green camp and blue camp to describe the rapprochement of Taiwan to
China/the PRC, thus distracting from the truth that Taiwan's indigenous peoples were the real victims in this historic
clash of cultures and struggle of civilizations. Accordingly, the term "de-sinification" usually is not meant in a sense
of restoring the dominance of Austronesian peoples and their ownership of land on the island but instead referring to
the goal of replacing Mandarin as Taiwan's official language with Holo. (See also the paragraph
"Languages in modern Taiwan".)
TOP HOME
[◆ Taiwan's indigenous peoples]
[Directory colonization's impact]
In terms of what Western scholars today know about Aboriginal societies, a social hierarchy with a leadership recruited
from nobility seems to have been common. Concerning statehood and administrative structure, there is no evidence that would
clearly confirm the existence of Western-style political systems with a distinct bureaucracy in Taiwan's indigenous societies.
Available sources also give no indication that there were formal representatives authorized by aboriginal leaderships to handle
foreign relations, and no institutionalized historiography was in place, in part due to the lack of written script.
Some sources do mention an entity which the Dutch called "Kingdom of Middag", in Chinese dadu wangguo 大肚王國. A
founding date or a line of successive rulers have not been recorded, but it apparently existed while the Dutch were active
in Taiwan, and it is said to have perished after a (historically undisputed) massive aboriginal uprising against Qing rule
that took place in the area of Taichung's Dajia 大甲 and was put down in 1732. The territory of the kingdom was approximately
in the area of today's Taichung city and the northern part of Changhua county (see grey area in the Wikipedia-based Map
4). It is assumed that its ethnic composition consisted of the Taiwanese aboriginal peoples of Papora (paipula
zu 拍瀑拉族), Babuza (babusa zu 巴布薩族), Pazeh (Bazehai zu 巴則海族), Hoanya (hongya zu 洪雅族),
and Taokas (daokasi zu 道卡斯族).
|
——— Kingdom of Middag ——— |
| |
|
Please note that information in connection with
the Kingdom of Middag cannot be verified beyond
doubt, hence reservations about its accuracy
and reliability are justified. |
TOP HOME
[◆ Taiwan's indigenous peoples]
[Directory colonization's impact]
Taiwan's colonization by the Dutch, Spanish, Chinese and Japanese eventually saw Taiwan's indigenous peoples thoroughly
marginalized, a process that for the most part took its course roughly in the two and a half centuries following the end
of Dutch rule. Advancing Han Chinese settlers forced the indigenous population from their
settlement areas, and in the plains the aborigines faced loss of land, assimilation and outright violence. The fabric of
traditional societies and tribal order was torn apart, and Taiwan's first inhabitants became dispossessed, displaced and
foreigners in their own country. Adding insult to injury, members of the indigenous peoples were categorized in a derogatory
fashion as 'barbarous' or 'savages' (fan 番); the offensive term "huan-a" (fanzai 番仔)—a racist slur
in the Holo dialect used mostly against aborigines—is also still quite common.
In the end, the results of this development were disastrous for the indigenous peoples. In today's Taiwan, aborigines
make up less than 3 percent of the population, they have been ousted from their main original settlement areas and are
mostly confined to remote mountain regions (the plains tribes have even by and large disappeared altogether), their
languages are severely endangered or, as in the cases of most Pingpu languages, already extinct, and Taiwan's mainstream
culture is overwhelmingly dominated by the Han Chinese. Furthermore, the average life expectancy for members of the
indigenous tribes in general is 8 to 9 years lower than for Taiwanese inhabitants of Chinese descent, the aboriginal
unemployment rate is higher on average, and they often face prejudice, stereotypes, discrimination and cultural arrogance
from non-aborigines. (An article of the Borgen Project about poverty among Taiwan's indigenous peoples published in 2020
can be found here, and a 2015 study
analyzed their social exclusion.)
One issue which is continuously brought up by indigenous activists is the question of their "traditional areas"
(chuantong lingyu 傳統領域). According to existing rules and regulations—the Guidelines for Demarcating
Aboriginal Land or Tribal Areas (yuanzhu minzu tudi huo buluo fanwei tudi huashe banfa
原住民族土地或部落範圍土地劃設辦法) and others—traditional areas do explicitly not include private land, and groups
like the Aboriginal Transitional Justice Classroom (yuanzhumin zhuanxing zhengyi xiaojiaoshi 原住民轉型正義小教室,
abbrev. yuanzhuan xiaojiaoshi 原轉小教室) and the Taiwan Indigenous Peoples' Policies Association (Taiwan
yuanzhu minzu zhengce xiehui 台灣原住民族政策協會) argue that restricting their land rights to traditional
territories on public land and excluding private land amounts to an acknowledgement that the past behaviour and
policies which led to the theft of Aboriginal land were legitimate, and the eventual result would be the final and
complete loss of original lands. The Council of Indigenous Peoples (CIP) has
so far ruled out adjustments to delineation guidelines for traditional Aboriginal areas.
In this context it should be noted that the demand of some indigenous activists for the return of their ancestral land
is often misunderstood. For them the issue is not about expropriating owners of private land. In Taiwan, privately owned
land still falls under the jurisdiction of the ROC, so real estate property is subject to certain restrictions by law—for
example, developers often need government approval for their projects, e. g. regarding environmental impact, then protection
of historical monuments or objects of cultural significance has to be considered and so on. Indigenous people do not want
privately-owned land to be taken from the current owners and handed to them, instead they want a say in how their traditional
lands are used, much as the national government currently has the right to do over private property. Relevant regulations
would remain in place for returned land, and private landowners just would have to consult with both the ROC government and
a local indigenous council before proceeding with projects that would require official approval.
TOP HOME
[◆ Taiwan's indigenous peoples]
[Directory colonization's impact]
Meanwhile, social changes in Taiwan which accompanied the democratization and political liberalization after the
lifting of martial law in 1987 also brought about a shift in attitudes and policies toward the indigenous peoples.
- On Aug. 1, 1994 the term "mountain people" (shanbao 山胞) in the Additional Articles of the ROC Constitution (xianfa zengxiu tiaowen 憲法增修條文) was replaced with "indigenous people" (yuanzhumin 原住民) after the
indigenous peoples had agitated against the old term for decades because of its racist connotation.
- The Name Act (xingming tiaoli 姓名條例) was amended on Jan. 20, 1995 by order of ROC President Lee Teng-hui so that aborigines could apply for resumption of their traditional tribal names.
- On Dec. 10, 1996 the Council of Aboriginal Affairs (today's CIP) was established as a cabinet-level agency.
- After Chen Shui-bian had been confirmed as DPP candidate for the 2000 ROC presidential election on July 10, 1999, he signed the New Partnership Accord (xin huoban guanxi tiaoyue 新夥伴關係條約) with
representatives of the indigenous peoples on Sept. 24, 1999 on Lanyu and again on Oct. 19, 2002 in Taipei as ROC president.
- The Indigenous Peoples Basic Law (yuanzhu minzu jibenfa 原住民族基本法) was promulgated on Feb. 5, 2005.
- On July 1, 2005 Taiwan Indigenous Television (yuanzhu minzu dianshitai 原住民族電視台, abbrev. yuanshi 原視 in Chinese and TITV in English) was launched, Asia's first indigenous TV station.
- The Indigenous Languages Development Act (yuanzhu minzu yuyan fazhanfa 原住民族語言發展法) passed its third reading on May 26, 2017 and was promulgated on June 14, 2017, granting official status to Taiwan's aboriginal languages.
- Alian Radio (yuanzhu minzu guangbo diantai 原住民族廣播電台), the first nationwide indigenous radio station, started broadcasting on Aug. 9, 2017, airing content in 16 aboriginal languages.
- An Indigenous Legal Service Center (yuanzhu minzu falü fuwu zhongxin 原住民族法律服務中心) where Aborigines can obtain legal assistance was set up on March 12, 2018.
A recent public statement by ROC President Tsai Ing-wen is
of far greater significance. As first head of state in ROC history she issued a formal apology on behalf
of the government to Taiwan's indigenous peoples on Aug. 1, 2016—a day that had been declared "Indigenous
People's Day" (Taiwan yuanzhu minzuri 台灣原住民族日) in remembrance of Aug. 1, 1994. In her speech
during the apology ceremony which was held at the Presidential Palace in Taipei, Tsai Ing-wen addressed
several of the challenges Taiwan's indigenous peoples are confronted with today. She acknowledged that
the indigenous peoples had been subject to four centuries of pain and unfair treatment, and she defined
the status of indigenous peoples as Taiwan's 'original owners' (yuanzhu minzu shi Taiwan "yuanlaide
zhuren" de diwei 原住民族是台灣「原來的主人」的地位).
One particular issue mentioned by President Tsai that exemplifies the conflict between modern society
and traditional tribal culture is the question of hunting rights. While tribal leaders maintain that hunting is a tradition
for indigenous people and should not be equated with poaching, the indigenous peoples' right to hunt sometimes
collides with ROC laws like the Act on Wildlife Conservation
(yesheng dongwu baoyufa 野生動物保育法), the Firearms, Ammunition,
and Knives Control Act (qiangpao danyao daoxie guanzhi tiaoli 槍砲彈藥刀械管制條例) and the National Park Law (guojia
gongyuanfa 國家公園法). In general, hunting has been banned in the ROC and is subject to penalty. Although special
provisions are regulating the indigenous peoples' right to hunt, aboriginal hunters are sometimes still arrested when legally
hunting on designated lands.
President Tsai's formal apology to the indigenous peoples is part of her greater initiative to
promote and implement transitional justice (zhuanxing zhengyi 轉型正義), a concept seeking
to redress legacies of human rights abuses. Since 1987 Taiwan/the ROC has made impressive progress
in the period of political transition from the authoritarian, dictatorial
regime to democracy, but a lot has yet to be done to address past human rights violations and move forward
on the path towards reconciliation.
TOP HOME
[◆ Taiwan's indigenous peoples]
[Directory colonization's impact]
Although Tsai Ing-wen's historical, unprecedented apology was
a noble gesture suggesting good intentions and bearing great importance for improving the status of and
respect for the indigenous peoples, nobody should have illusions about a turning-back of the wheels of
history. There is no indication that the results of colonization will be reversed since they are in fact
largely irreversible.
- In the foreseeable future the indigenous peoples will remain a small minority of Taiwan's
population because the vast majority of descendants of Han Chinese immigrants have no inclination
to move to the land of their ancestors, so the ethnic dominance of the Han Chinese in Taiwan will
prevail unless undemocratic means like forced resettlements were applied.
- Despite the ongoing attempts for revival of aboriginal languages in schools, none of these
languages is expected to become a mainstream language in Taiwan/the ROC anytime soon.
- It also would be exceptionally optimistic to expect that the bulk of public-owned land will
be returned to the indigenous peoples.
- It even is questionable whether the nuclear waste dumped on Lanyu
will ever be removed from there because choosing a location on Taiwan proper as a replacement for long-term
storage of radioactive materials is a mission impossible due to certain fierce
resistance of local residents at potential alternative sites.
That being said, certainly more needs to be done in Taiwan in order to strengthen minority
protection. The Indigenous Peoples Basic Law should be enforced more strictly, and there is definitely
room for progress in areas like preservation of the languages and cultures of Taiwan's earliest
inhabitants. Relevant measures should be welcomed and supported.
TOP HOME
[◆ Taiwan's indigenous peoples]
[Directory colonization's impact]
In Taiwan, the term "colonization" is not exclusively used to describe the developments concerning
the marginalization of the indigenous peoples by immigrating
Han Chinese (Holos, Hakka) since the 17th century. Sometimes the term is also applied in
the context of Taiwan being under ROC control since 1945, especially by individuals in the pan-green
camp who claim that ROC rule over Taiwan was illegal under international law since the ROC never formally
received sovereignty over Taiwan after WWII. (More details regarding this point can be found under the
headline "Legal aspects of Taiwan in the ROC" of the section Taiwan Province on the page "Local administration".)
TOP HOME
[◆ Taiwan's indigenous peoples]
[Directory colonization's impact]
===== ===== ===== ===== =====
↻ This page was last updated/edited on April 27, 2026.
|